Koniec kanałów i programów TAI w dotychczasowej formule
W opublikowanym w środę, 20 grudnia ub.r. przed południem komunikacie podano, że minister kultury i dziedzictwa narodowego Bartłomiej Sienkiewicz odwołał prezesów i członków rad nadzorczych Telewizji Polskiej, Polskiego Radia i Polskiej Agencji Prasowej.
Jednocześnie minister powołał nowe rady nadzorcze tych spółek, które z kolei powołały nowe zarządy. Nowym przewodniczącym rady nadzorczej TVP został Piotr Zemła a jego zastępcą - Maciej Taborowski. Z kolei na stanowisko prezesa powołany został były szef TAI Tomasz Sygut, który zastąpił Mateusza Matyszkowicza.
##NEWS https://www.wirtualnemedia.pl/teleexpress-tvp1-maciej-orlos,7169447789463169a ##
Nowe szefostwo Telewizji Polskiej tego samego dnia doprowadziło do przerwania nadawania kanałów TVP Info (stacja wznowiła emisję 29 grudnia ub.r), TVP3 (ponowna emisja od 26 grudnia ub.r.) i TVP World (w miejscu stacji w środę od godz. 11.18 pojawiły się sygnały TVP1, TVP2 i TVP Kultura oraz inne audycje, m.in. serial „Ranczo”), publiczny nadawca nie pokazał również „Wiadomości” (wydań o 12.00, 15.00 i 19.30), „Teleexpressu” i „Panoramy”.

Telewizja Republika przejęła widzów TVP Info i TVP3
W ostatnich tygodniach ostatnie zmiany w mediach publicznych obszernie krytykuje należąca do Tomasza Sakiewicza prawicowa stacja TV Republika. Jej ramówka niemal w całości jest wypełniona tym tematem. Dodatkowo ze stacją związała się część dotychczasowych pracowników TVP, m.in. Michał Rachoń (przeniósł swoją autorską audycję „Jedziemy” z TVP Info do TV Republika), Danuta Holecka w roli gospodyni serwisu „Dzisiaj” (w TVP była gospodynią m.in. „Wiadomości”, „Gościa Wiadomości” i „Minęła 20-sta”; dziennikarka ze spółki odeszła tuż przed przejęciem publicznego nadawcy przez nowe szefostwo) czy Adrian Borecki w roli reportera (poprzednio był reporterem i prezenterem „Wiadomości” TVP).
##NEWS https://www.wirtualnemedia.pl/dzisiaj-tv-republika-danuta-holecka-opinie-prowadzacy,7169446910367873a ##

Średnia minutowa widownia TV Republika od 20 grudnia 2023 roku do 9 stycznia 2024 roku wyniosła 185 tys. osób. Przełożyło się to na 2,92 proc. udziału w rynku telewizyjnym wśród wszystkich widzów, 1,43 proc. w grupie 16-49 oraz 1,71 proc. w grupie 16-59 - wynika z danych Nielsen Audience Measurement, do których dotarł portal Wirtualnemedia.pl.
Spośród poszczególnych dni stacja TV Republika najchętniej oglądana była 9 stycznia br. Kanał w ujęciu całodobowym śledziło wówczas 314 tys. osób w 4+ (5,33 proc. udziału w 4+). Jednocześnie są to rekordowe wyniki w historii nadawania stacji. We wtorek TV Republika krytykowała decyzje nowego rządu dotyczące aresztowań Mariusza Kamińskiego i Macieja Wąsika.
##NEWS https://www.wirtualnemedia.pl/jedziemy-michal-rachon-tv-republika-kiedy-emisja-hit,7169450280199809a ##

Dla porównania, w okresie od 1 do 19 grudnia ub.r. średnie dobowe udziały TV republika wynosiły 0,10 proc. w 4+, 0,03 proc. w 16-49 i 0,05 proc. w 16-59. SHR% stacji w ostatnich dniach wzrósł o odpowiednio 2819 proc., 5257,13 proc. i 3325,71 proc.
Prawicowa stacja przegrywa tylko z TVN24
W rankingu kanałów informacyjnych Telewizja Republika w okresie od 20 grudnia ub.r. do 9 stycznia br. zajęła miejsce drugie. Wyższy udział w 4+ zanotował tylko kanał TVN24 (7,06 proc.).

Na trzecim miejscu znalazł się Polsat News (2,23 proc.), a czołową piątkę uzupełniają Wydarzenia 24 (1,24 proc.) i TVP Info (0,77 proc.; monitoring stacji był wyłączony do środy, 20 grudnia ub.r. od godz. 11.18 do 29 grudnia ub.r. do 19.30).
Również Telewizja wPolsce.pl z rekordowymi wynikami
Rekordowy wynik osiąga także Telewizja wPolsce.pl, która - podobnie jak TV Republika - jest kanałem o charakterze prawicowym. SHR% stacji w okresie od 20 grudnia ub.r. do 9 stycznia br. wyniósł 0,17 proc. (ósme miejsce w zestawieniu; + 477,78 proc. względem okresu od 1 stycznia do 19 grudnia ub.r.).

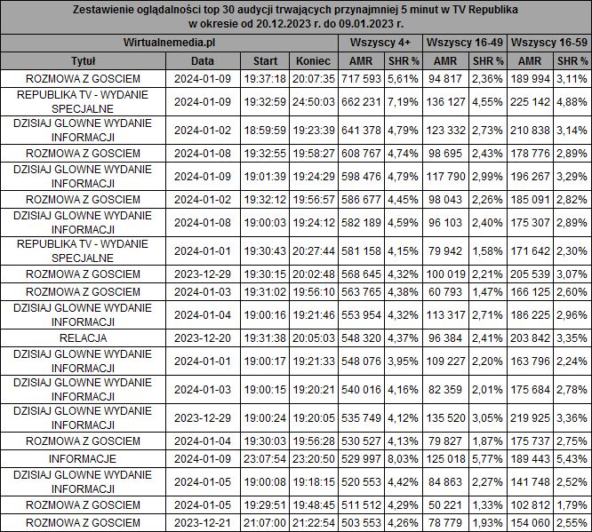
Zestawienie oglądalności top 20 audycji trwających przynajmniej 5 minut w TV Republika w okresie od 20 grudnia 2023 roku do 9 stycznia 2024 roku.














