Telewizja publiczna ma obowiązek raportowania ile czasu antenowego pożytkują politycy poszczególnych opcji. Chodzi o zachowanie zasady pluralizmu poglądów, co ma sprzyjać swobodnemu kształtowaniu się opinii publicznej. Taki obowiązek nakłada na Telewizję Polską Ustawa o radiofonii i telewizji, która w ramach misji publicznej ma m.in. „umożliwiać obywatelom i ich organizacjom uczestniczenie w życiu publicznym poprzez prezentowanie zróżnicowanych poglądów i stanowisk oraz wykonywanie prawa do kontroli i krytyki społecznej”.
Kampania prezydencka: dominuje prezydent i jego kancelaria
Tegoroczna kampania prezydencka ze względu na epidemię koronawirusa ma specyficzny charakter. Formalnie ruszyła 5 lutego - marszałek Sejmu Elżbieta Witek ogłosiła wtedy datę wyborów: I tura miała się odbyć 10 maja, a druga - jeśli żaden z kandydatów nie uzyska ponad połowy ważnie oddanych głosów w I turze - 24 maja. Do ostatniej chwili jednak nie było wiadomo czy wybory się odbędą w tym terminie i jaką będą mieć formę.

Politycy PiS w ostatnich dniach - mimo poprzednich zapewnień - stwierdzili, że te terminy być może będą niemożliwe do dotrzymania. Wicemarszałek Senatu Stanisław Karczewski przyznał w Polsat News, że „spadają szanse, by wybory odbyły się 10 maja”. - Najbardziej prawdopodobnym terminem jest 23 maja, ale mogą się one odbyć również 17 maja - ocenił. Dodał, że „okazało się, że jest za mało czasu”.
W środę wieczorem - tuż po debacie kandydatów na prezydenta w TVP - wydano wspólne oświadczenie prezesa PiS Jarosława Kaczyńskiego oraz szefa Porozumienia Jarosława Gowina: "Po 10 maja 2020 roku oraz przewidywanym stwierdzeniu przez Sąd Najwyższy nieważności wyborów, wobec ich nieodbycia, Marszałek Sejmu ogłosi nowe wybory prezydenckie w pierwszym możliwym terminie".
W marcu - kiedy epidemia koronawirusa zaczęła się rozprzestrzeniać - większość polityków opozycyjnych ogłosiła, że zawiesza większe spotkania wyborcze i swoje działania przenosi do internetu. Odbywały się jedynie małe konferencje prasowe.

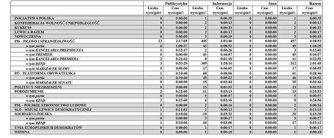
Równe szanse kandydatów na urząd prezydenta RP można oceniać m.in. na podstawie czasu antenowego przeznaczonego dla poszczególnych komitetów wyborczych. W sumie komitet wyborczy kandydata na prezydenta – obecnie urzędującego - Andrzeja Dudy zajął na antenach TVP1, TVP2, TVP3 i TVP Info tylko 6,5 minuty. Dla porównania komitet Roberta Biedronia nie był obecny w ogóle.
TVP opublikowała dane, ile czasu antenowego przeznaczyła w marcu dla poszczególnych komitetów wyborczych.
TVP Info

Komitet wyborczy Andrzeja Dudy – 3 min. 16 sek. Komitet wyborczy Krzysztofa Bosaka – 6 min. 21 sek.KWknPRP Małgorzaty Kidawy – Błońskiej – 19 min. 24 sek.KWknPRP Szymona Hołowni – 2 min. 10 sek.Komitet Władysława Kosiniaka-Kamysza – 9 min. 28 sek.KW Roberta Biedronia – brakDodatkowo oprócz wspominanego czasu – z racji sprawowanego urzędu – prezydent oraz Kancelaria Prezydenta także pojawiają się w telewizji publicznej. Zajęli oni odpowiednio - prezydent: 19 godzin 56 min. 31 sek; a Kancelaria Prezydenta: 2 godziny 25 min. 2 sek.
TVP1
Komitet wyborczy Andrzeja Dudy – 15 sek.Komitet wyborczy Krzysztofa Bosaka – 46 sek.KWknPRP Małgorzaty Kidawy – Błońskiej – 5 min. 47 sek.KWknPRP Szymona Hołowni – 15 sek.Komitet Władysława Kosiniaka-Kamysza – 2 min. 27 sek.KW Roberta Biedronia – brakDodatkowo:Prezydent: 47 min. 16 sek.Kancelaria Prezydenta: 25 min. 13 sek.

TVP2
Komitet wyborczy Andrzeja Dudy – 2 min. 39 sek.Komitet wyborczy Krzysztofa Bosaka – 1 min. 44 sek.KWknPRP Małgorzaty Kidawy – Błońskiej – 3 min. 28 sek.KWknPRP Szymona Hołowni – 1 min. 24 sek.Komitet Władysława Kosiniaka-Kamysza – 3 min. 6 sek.KW Roberta Biedronia – brakDodatkowo:Prezydent: 11 min. 22 sek.Kancelaria Prezydenta: 52 sek.
TVP3

Komitet wyborczy Andrzeja Dudy – 20 sek. Komitet wyborczy Krzysztofa Bosaka – 1 min. 18 sek.KWknPRP Małgorzaty Kidawy – Błońskiej – 3 min. 4 sek.KWknPRP Szymona Hołowni – 1 min. 16 sek.Komitet Władysława Kosiniaka-Kamysza – 3 min. 22 sek.KW Roberta Biedronia – brakDodatkowo:Prezydent: 53 min. 53 sek.Kancelaria Prezydenta: 18 min. 47 sek.
Jednym z zadań Krajowej Rady Radiofonii i Telewizji jest m.in. monitoring programów nadawców w zakresie wykonywania obowiązków ustawowych i koncesyjnych. Ostatnie kampanie: samorządowa, do Parlamentu Europejskiego oraz do Sejmu i Senatu nie były jednak monitorowane. Nie ma także monitoringu kampanii prezydenckiej, co uzasadniano faktem, że jest to „zbyt drogie”. KRRiT tłumaczyła później w wydanym oświadczeniu, że samodzielnie realizuje monitoringi wszystkich anten i zgodnie z planami, w 2020 roku dokona analizy ponad 11 tys. godzin programów.

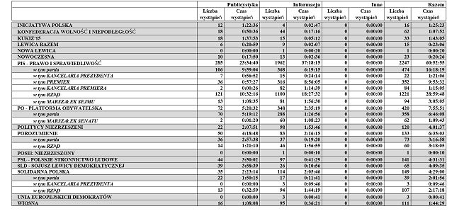
Politycy na antenach TVP
TVP Info

Politycy PiS w sumie na antenie TVP Info w marcu br. zajęli 60 godzin 52 minuty 55 sekundy. Do ogólnego czasu zaliczono także wypowiedzi przedstawicieli władz - prezydenta, premiera oraz urzędników odpowiednich kancelarii, a także sejmu i senatu. Politycy Porozumienia: 6 godzin 35 minut i 3 sekundy, a Solidarnej Polski: 4 godziny 29 minut.
Dla przykładu przedstawiciele PO łącznie zajęli na antenie 7 godzin 55 minut 51 sekund; SLD: 4 godziny 9 minut 35 sekund; Konfederacji: 1 godzinę 7 minut i 52 sekundy; PSL – 4 godziny 31 minut i 31 sekund; Wiosny – 1 godzinę 44 minuty 29 sekund.
TVP1

Na antenie Programu 1 przedstawiciele PiS byli obecni przez 4 godziny 18 minut i 51 sekund; Porozumienia: 25 minut 53 sekundy, a Solidarnej Polski: 13 minut 39 sekund.Dla porównania politycy SLD: 11 minut 15 sekund; PO: 18 minut 46 sekund; Konfederacji: 13 sekund; PSL: 16 sekund; Wiosny: 18 sekund.
TVP2
Przedstawiciele PiS również najwięcej czasu antenowego zajęli w TVP2 – łącznie 38 minut 35 sekund; Porozumienia: 26 sekund; a Solidarnej Polski – 1 minutę 46 sekund.Z kolei PO zajęła: 5 minut 28 sekund; politycy SLD: 23 sekundy; Konfederacji: 22 sekundy; PSL: 21 sekund; Wiosny: brak.

TVP3
Na antenie TVP3 przedstawiciele Prawa i Sprawiedliwości zajęli łącznie 5 godzin 44 minuty i 36 sekund; z Porozumienia – 7 minut 26 sekund; a z Solidarnej Polski – 8 minut 20 sekund.
Dla porównania: PO - 21 minut 47 sekund; a PSL – 7 minut.

W sumie w marcu PiS miał możliwość prezentowania własnych treści w publicznej telewizji przez 71 godzin 34 minuty i 57 sekund.
Braun apelował o równe szanse dla kandydatów
Członek Rady Mediów Narodowych Juliusz Braun już w marcu br. apelował, aby Rada Mediów Narodowych zwróciła się do mediów publicznych o stworzenie sztabom wyborczym kandydatów na prezydenta, możliwości swobodnego prezentowania ich programów w audycjach telewizyjnych i radiowych. Apel miał związek z ograniczeniami spowodowanymi zagrożeniem koronawirusem.
W środę wieczorem odbywała się debata kandydatów na urząd prezydenta RP. Wzięło w niej udział 10 polityków: urzędujący prezydent Andrzej Duda (popiera go Zjednoczona Prawica), Małgorzata Kidawa-Błońska (Koalicja Obywatelska), Władysław Kosiniak-Kamysz (PSL), Robert Biedroń (Lewica), Krzysztof Bosak (Konfederacja), Szymon Hołownia, Paweł Tanajno, Mirosław Piotrowski, Marek Jakubiak i Stanisław Żółtek. Przeprowadzenie debaty przed wyborami prezydenckimi jest ustawowym obowiązkiem Telewizji Polskiej, prowadził ją Michał Adamczyk.
Krótszy czas oglądania telewizji w 2019 roku
W 2019 roku liderem oglądalności wśród wszystkich widzów był Polsat, a w grupie komercyjnej TVN. Wśród głównych stacji wzrosty odnotowały TVP1 i TVP2, ale najwięcej zyskały TVP Sport, Super Polsat i TTV. Skrócił się średni czas oglądania telewizji, choć zwiększyły się wydatki reklamowe.














