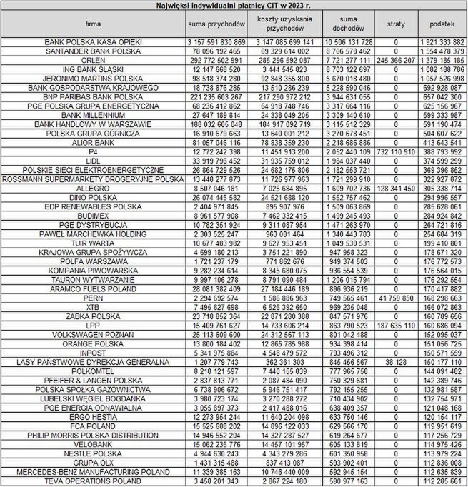
Według danych Ministerstwa Finansów w 2023 roku spółka P4, operator sieci telekomunikacyjnej Play, w 2023 roku przy 12,77 mld zł przychodów i 11,45 mld zł kosztów ich uzyskania zapłaciła 388,79 mln zł podatku dochodowego. Rok wcześnie kwota podatku CIT poniesionego przez firmę wyniosła 151,75 mln zł.
„Zapłaciła” to w przypadku każdego podmiotu z zestawienia określenie umowne - w wykazie resortu finansów podano kwoty naliczonego CIT za ub.r. od osób prawnych (czyli spółek, instytucji i fundacji), których przychód uzyskany w ub.r. przekroczył równowartość 50 mln euro.
Poziom 300 mln zł podatku przekroczyło jeszcze Allegro, oddając fiskusowi 305,34 mln zł (wobec 246,28 mln zł rok wcześniej). W rankingu są też jego spółki zależne Allegro Pay (40,81 mln zł) i Ceneo.pl (17,17 mln zł).
Niższe kwoty podatku dochodowego niż P4 miały do zapłaty za ub.r. inne czołowe telekomy. Orange Polska odprowadził do fiskusa 151,05 mln zł, Polkomtel (operator sieci Plus) - 144,09 mln zł, a T-Mobile Polska - 106,13 mln zł. W przypadku Orange Polska kwota CIT rok do roku zwiększyła się prawie trzykrotnie (z 52,9 mln zł), a w przypadku Polkomtela i T-Mobile Polska zmalały (odpowiednio z 202,94 i 147,03 mln zł).

Spółki Cyfrowego Polsatu z mniejszymi zyskami
Oprócz Polkomtelu spadki naliczonych kwot CIT zanotowało kilka innych firm z grupy Cyfrowy Polsat, której od zyskowność od przełomu 2021 i 2022 roku mocno obciążyły zwiększające się, wraz ze wzrostem stóp procentowych, koszty obsługi zadłużenia i duże inwestycje w sektor energetyki zeroemisyjnej. Sama spółka Cyfrowy Polsat za ub.r. miała do oddania fiskusowi 32,02 mln zł (wobec 79,96 mln zł przed rokiem), Telewizja Polsat - 30,3 mln zł (40,63 mln zł za 2022 rok), a Polsat Media - 36,86 mln zł (39,75 mln zł rok wcześniej).
Wśród nadawców telewizyjnym największym płatnikiem CIT za ub.r. była Telewizja Polska z 84,35 mln zł. Oprócz Polsatu wyprzedziła pod tym względem TVN (30,69 mln zł, plus 37,7 mln zł od działającego jako osobna spółka biura reklamy TVN Media). Przy czym nadawcy prywatni płacą spore kwoty CIT regularnie, zaś TVP w 2022 roku zanotowała stratę i nie przekazała fiskusowi ani złotówki.

Z nadawców radiowych najwięcej zapłaciła Grupa RMF (38,23 mln zł), z wydawców obecnych w segmencie prasy drukowanej - Heinrich Bauer Verlag Beteiligungs, czyli Bauer Media (18,8 mln zł), a z firm marketingowych - RTB House (26,54 mln zł).
Jeśli chodzi o spółki zależne koncernów cyfrowych, najwięcej polskiemu fiskusowi za ub.r. oddał Google Poland (49,86 mln zł), a z dostawców sprzętu i usług - Apple Poland (49,52 mln zł), a z firm przesyłkowych, której duża część biznesu to dostawa zakupów internetowych - InPost (150,57 mln zł). Założyciel i szef InPostu Rafał Brzoska niedawno podkreślił, że jego polskie firmy oddały fiskusowi dużo więcej od konkurentów z branży logistycznej.
Z kolei w gronie spółek, której za 2023 roku nie miały do zapłaty ani złotówki CIT-u, są m.in. Empik, Netia, Huawei Polska, kilka spółek z branży prasowej (Polska Press, Garmond Press, Burda Media Polska) oraz kilka agencji mediowych.

Które firmy płacą najwięcej podatku w Polsce
Wśród największych płatników CIT przeważają banki oraz duże spółki skarbu państwa. PKO BP jako podatkowa grupa kapitałowa zapłaciła za ub.r. 2,31 mld zł podatku dochodowego, Bank Pekao SA - 1,92 mld zł, Santander Bank Polska - 1,55 mld zł, zaś Orlen - 1,38 mld zł.
Po nieco ponad miliard zł oddały natomiast fiskusowi ING Bank Śląski i Jeronimo Martins Polska















