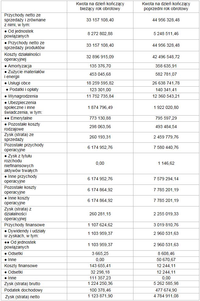
Przychody agencji Publicis w Polsce zmalały rok do roku z 37,35 do 24,94 mln zł, natomiast wpływy z zagranicy zwiększyły się z 7,6 do 8,21 mln zł.
W sprawozdaniu złożonym w KRS firma podała, że w ramach obsługi marketingowej Michelin zajmuje się m.in. pośrednictwem w zakupie kart przedpłaconych. Zaznaczono, że 6,02 mln zł wpływów i 6,02 mln zł kosztów z tego tytułu zostało zewidencjonowane jako pozostałe przychody i pozostałe koszty operacyjne.
Renegocjacja kontraktów, centralizacja i za długie przetargi
Z czego wynika spadek wpływów sprzedażowych Publicisu w Polsce? - Rok 2019 przebiegał pod znakiem renegocjacji istniejących kontraktów oraz pewnego spowolnienia działań klientów ze względu ogromną aktywność rok wcześniej. Nowym zjawiskiem na polskim rynku okazało się również centralizowanie dotychczasowych zleceń eksportowych przyjmowanych przez polskie podmioty, na rodzimych rynkach korporacji (głównie w Wielkiej Brytanii i USA) - wyliczył zarząd w sprawozdaniu, zaznaczając, że spadki z tych przyczyn zanotowała cała branża reklamowa.

Władza agencji narzekają też na niekorzystne realia przetargowe i rosnące koszty. - Nadal jednym z największych problemów branży reklamowej pozostaje długi czas trwania przetargów, z których część pozostaje nierozstrzygnięta oraz rozdrobniona wartość poszczególnych projektów. Rośnie koszt pozyskania nowych klientów. Spada rentowność projektów reklamowych na co wpływ ma z jednej strony presja kosztowa (pracownicy) a z drugiej tendencja do redukcji liczby roboczogodzin per projekt - opisali zarządzający agencją.
W 2018 roku Publicis przygotował dla Orlenu kilka reklam pod hasłem „Kierunek Orlen”, natomiast w ub.r. kreacją głównych kampanii koncernu paliwowego zajęła się agencja Red8. Klientami Publicisu są też koncerny Renault, L’Oreal, Sanofi i Nestle. Na początku ub.r. agencja zaczęła pracę dla jednej z marek USP Zdrowie oraz Frisco.pl

- Silna presja ze strony kontrahentów wymaga ciągłych poszukiwań nowych rozwiązań, kontroli kosztów i zwiększenia efektywności zarządzania - dodał zarząd polskiego Publicisu. W ub.r. dział strategii agencji wprowadził do oferty o nowe narzędzia warsztatowe i analityczne z zakresu big data.
8,27 mln zł przychodów agencji Publicis pochodziło od innych firm z koncernu Publicis Groupe. 2,47 mln zł zapewniła francuska spółka Publicis Conseil, z kolei 2,02 mln zł Publicis Lion, 1 mln zł - Prodigious, a 802,4 tys. zł - Saatchi&Saatchi IS (wszystkie te trzy spółki działają w Polsce). Od Publicis Lion pochodziło też 1,1 mln zł wpływów finansowych.
Czterech pracowników mniej

Koszty operacyjne agencji Publicis wyniosły w ub.r. 32,9 mln zł, co wobec 42,5 mln zł oznacza spadek o 22,6 proc. Wydatki na usługi obce zmalały rok do roku z 26,64 do 18,26 mln zł, a na wynagrodzenia - z 12,36 do 11,75 mln zł.
W ub.r. w agencji pracowało średnio 87 osób, o cztery mniej niż rok wcześniej. - Rok nadal przebiegał w sytuacji rynku pracownika - tu efekt spowolnienia może być widoczny w kolejnym roku - skomentował zarząd firmy.
Na początku ub.r. prezesem agencji Publicis został Tomasz Pawlikowski, zastąpił Macieja Lissowskiego, który odszedł ze spółki. Natomiast w połowie ub.r. w miejsce Patricka Dumouchela i Thomasa Barbusse do zarządu firmy weszli Jarosław Ziębiński i David Clark.
Z kolei koszty amortyzacji zmalały z 358,6 do 135,4 tys. zł, nakłady na zużycie materiałów i energii - z 582,8 do 453 tys. zł, a pozostałe koszty rodzajowe - z 493,5 do 298,1 tys. zł. Wydatki agencji na zakupy od innych firm z Publicis Groupe wyniosły 2,57 mln zł, z czego 801,1 tys. zł trafiło do domu produkcyjnego Prodigious, a 708,5 tys. zł do czeskiej spółki Lion Communications.

Mniejszy zysk, połowa na dywidendę
Zysk sprzedażowy agencji Publicis skurczył się z 2,46 mln zł do 260,2 tys. zł. Pozostałe przychody operacyjne zmalały z 7,58 do 6,17 mln zł, a pozostałe koszty operacyjne - z 7,78 do 6,17 mln zł. Wpływy finansowe (głównie dywidendy) zmniejszyły się 3,02 do 1,11 mln zł, a koszty finansowe poszły w górę z 12,2 do 143,6 tys. zł.
Przełożyło się to na spadek zysku operacyjnego z 2,25 mln zł do 260,3 tys. zł oraz zysku netto z 4,78 do 1,12 mln zł.

Jedynym udziałowcem agencji Publicis jest, poprzez holenderską spółkę zależną, koncern Publicis Groupe. Właściciel agencji zdecydował, że połowa jej zeszłorocznego zysku netto zostanie przeznaczona na dywidendę, a połowa pozostanie w spółce.
Wahania popytu w krótkim okresie
Zarząd agencji Publicis nie jest jeszcze w stanie oszacować konsekwencji ilościowych i jakościowych epidemii koronawirusa. W sprawozdaniu tłumaczy to dynamicznym rozwojem sytuacji i brakiem podobnych wydarzeń w przeszłości.

- Na bieżąco analizujemy sytuację Spółki w związku z rozprzestrzenianiem się COVID-19 w Polsce, w tym uwarunkowania, istotnie wpływające na generowane wyniki finansowe i sytuację gospodarczą Spółki. Podejmujemy stosowne odpowiednie działania i środki prewencyjne - zapewniły władze agencji.
- Spodziewamy się wahań popytu w krótkim okresie i ryzyko to ograniczamy poprzez wdrożenie na bieżąco planów awaryjnych. Perspektywy krótkoterminowe są obarczone dużym stopniem niepewności, ale spodziewamy się pozytywnego rozwoju po stronie popytu w perspektywie średnio- i długoterminowej mając na uwadze pozycję rynkową spółki - dodały.
Publicis Lion z 14,7 mln zł wpływów i 224 tys. zł zysku
Do agencji Publicis należy spółka Publicis Lion, której wyniki finansowe też zmalały w ub.r. Przychody sprzedażowe poszły w dół o 11,9 proc. do 14,72 mln zł. Wpływy krajowe zmalały z 9,1 do 7,25 mln zł, a te z zagranicy - z 7,61 do 7,47 mln zł.

Publicis Lion pracuje m.in. dla Prudential Polska, banku BNP Paribas (jego obsługę utrzymał po przetargu wiosną ub.r.), oraz marek Powerade i Fuzetea należących do Coca-Cola Poland Services.
Koszty operacyjne spółki zmniejszyły się o 5,9 proc. do 14,41 mln zł. Wydatki na usługi obce zmalały z 11,71 do 10,81 mln zł, a na wynagrodzenia - z 2,78 do 2,76 mln zł (przy czym koszty ubezpieczeń społecznych i innych świadczeń pracowniczych zwiększyły się z 550,2 do 571 tys. zł). W agencji pracowało w ub.r. średnio 28 osób, o dwie więcej niż w 2018 roku.
W ub.r. przychody Publicis Lion od innych firm z koncernu Publicis Groupe wyniosły 2,91 mln zł (z czego 1,46 mln zł od Saatchi&Saatchi Worldwide), a wydatki na zakupy od nich - 3,58 mln zł (w tym 2,02 mln zł od agencji Publicis, a 1,01 mln zł od Prodigious).

Zysk sprzedażowy Publicis Lion zmalał rok do roku z 1,4 mln zł do 309,2 tys. zł, zysk operacyjny - z 1,4 mln zł do 323,8 tys. zł, a zysk netto - z 1,1 mln zł do 224,5 tys. zł.
Cały zeszłoroczny zysk netto spółki trafił w formie dywidendy do agencji Publicis.














