Z raportu Telewizji Polskiej wynika, że w styczniu br. w TVP Info wypowiedzi przedstawicieli najważniejszych władz państwowych emitowano łącznie przez 32 godziny i 33 minuty, z czego 15 godzin i 35 minut przypadło na przedstawicieli rządu (bez premier i innych osób z jej kancelarii). W swoim monitoringu TVP uwzględnia także wypowiedzi telefonicznie, jeśli towarzyszy im plansze ze zdjęciem oraz imieniem i nazwiskiem mówiącego.
W żadnym z poniższych raportów nie wyszczególniono, w jakich pasmach emitowane były wystąpienia polityków. Nie ma też informacji o kontekstach, w których były one pokazywane.

Jeśli chodzi o wypowiedzi polityków poszczególnych ugrupowań, to przedstawiciele PiS byli obecni na antenie TVP Info przez nieco ponad 37 godzin, przy czym ponad 20,5 godziny przypadło na stwierdzenia polityków PiS będących jednocześnie we władzach państwowych (rządzie, kancelarii prezydenta i premiera, marszałka Sejmu i Senatu). W tym przypadku nie uwzględniono wypowiedzi wynikających z konstytucyjnych uprawnień prezydenta, premiera i marszałków, dlatego czas wypowiedzi w każdej z tych kategorii jest krótszy niż w pierwszej tabelce.
Stwierdzenia polityków PO były emitowane przez 13,5 godziny, wobec 16 godzin i 23 minut wypowiedzi polityków PiS niebędących we władzach państwowych. Przy czym do PiS-u można jeszcze dodać tworzących z nim koalicję przedstawicieli Solidarnej Polski (3 godziny i 19 minut, z czego tylko 16 minut bez związku z uprawnieniami konstytucyjnymi) oraz Polska Razem (3 godziny i 3 minuty, z czego godzina i 7 minut bez związku z uprawnieniami konstytucyjnymi).

Słowa polityków Kukiz ’15 były pokazywane przez 8 godzin i 40 minut, Nowoczesnej - przez 8 godzin i 9 minut, a PSL - przez 5 godzin i 10 minut. Z partii pozaparlamentarnych najdłuższą obecność na antenie miał SLD (godzina i 9 minut).
Jak te statystyki wyglądały dwa lata wcześniej, kiedy rządziły PO i PSL oraz Bronisław Komorowski, a Telewizją Polską kierował zarząd wybrany przez poprzedni skład Krajowej Rady Radiofonii i Telewizji? Wypowiedzi przedstawicieli władz państwowych zajęły znacznie mniej czasu - 24 godziny i 46 minut. Znacznie krócej niż dwa lata później pokazywano stwierdzenia premiera (3 godziny i 44 minut wobec 5 godzin i 19 minut w styczniu br.) oraz przedstawicieli kancelarii prezydenta (godzina i 45 minut wobec 3 godzin i 47 minut w styczniu br.) i kancelarii premiera (29 minut wobec 2 godzin i 26 minut).

Z ok. 73,5 godziny łącznego czasu wypowiedzi polityków wszystkich partii na PO przypadła ponad jedna trzecia - 26 godzin i 50 minut, a na PiS dwa razy mniej (13 godzin i 6 minut). Przy czym z czasu zajętego przez PO ponad 13 godzin zajęły słowa dotyczące uprawnień konstytucyjnych.
Wypowiedzi przedstawicieli PSL pokazywano przez 10,5 godziny, a SLD - przez 9 godzin i 40 minut.

W TVP1 i TVP2 wypowiedzi polityków są pokazywane znacznie rzadziej, głównie w codziennych programach informacyjnych i cotygodniowych publicystycznych, przy czym „Teleexpress”, „Panorama” i „Wiadomości” mają dużo wyższą oglądalność niż TVP Info.
W zeszłym miesiącu TVP1 emitowała wypowiedzi przedstawicieli władz państwowych przez 3 godziny i 49 minut, z czego ponad połowa przypadła na ministrów.

Politycy z różnych partii wypowiadali się w TVP1 przez 9 godzin i 5 minut. Stwierdzenia przedstawicieli PiS zajęły łącznie ponad połowę tego czasu - 5 godzin i 11 minut, z czego 3 godziny i 8 minut związane były z uprawnieniami konstytucyjnymi. Wypowiedzi polityków Solidarnej Polski i Polska Razem zajęły w sumie tylko ok. 26 minut.
Polityków PO można było oglądać i słuchać przez godzinę i 27 minut (czyli ponad trzy razy krócej niż tych z PiS), tych z Kukiz ’15 - przez 48 minut, a z Nowoczesnej - przez 28,5 minuty.

W styczniu 2015 roku wypowiedzi przedstawicieli władz państwowych zajęły w TVP1 godzinę i 51 minut, czyli dwa razy mniej niż w zeszłym miesiącu. W obu okresach ponad połowa czasu przypadła na ministrów.

Z 4 godzin i 18 minut czasu trwania wypowiedzi polityków różnych partii na PO przypadła godzina i 46 minut, czyli 41 proc., a na PSL - 42,5 minuty, czyli 16 proc.
Politycy PiS wypowiadali się przez prawie godzinę, czyli 2,5 razy krócej niż ci z ówczesnej koalicji rządzącej.

W TVP2 w zeszłym miesiącu wypowiedzi przedstawicieli władz państwowych trwały łącznie 44 minuty i 40 sekund. Dwa lata wcześniej ta statystyka wynosiła prawie trzy razy mniej - 16 minut i 51 sekund.

Słów polityków wszystkich partii można było słuchać w styczniu br. przez nieco ponad 2 godziny, z czego ponad połowa (godzina i 12,5 minuty) przypadła na PiS. Przedstawiciele PO wypowiadali się przez 14 minut, a Nowoczesnej - przez nieco ponad 10 minut.
W styczniu 2015 roku stacja pokazywała wypowiedzi polityków przez godzinę i 57,5 minut, z czego stwierdzenia osób z PO zajęły 42 minuty, a tych z PSL - 6 minut.

Wypowiedzi polityków PiS trwały łącznie 19 minut, czyli 2,5 razy krócej niż partii wówczas rządzących.
Na drugiej podstronie porównanie wyników z grudnia 2015 i grudnia ub.r.
W sierpniu 2015 roku Andrzej Duda zaczął kadencję prezydenta, a w połowie listopada 2015 roku zaprzysiężono rząd Beaty Szydło. Jednocześnie w Telewizji Polskiej do początku stycznia 2016 roku prezesem był Janusz Daszczyński wybrany przez poprzedni skład KRRiT. Na początku stycznia, kiedy parlament uchwalał nowelizację ustawy medialnej, odeszli najważniejsi dyrektorzy TVP, a w połowie stycznia, kiedy Daszczyńskiego w zarządzie firmy zastąpili Jacek Kurski i Maciej Stanecki, zaczęły się duże roszady personalne, głównie w redakcjach programów informacyjnych i publicystycznych.
W grudniu ub.r. TVP Info pokazywało wypowiedzi polityków pełniących najważniejsze funkcje państwowe przez 26 godzin i 6 minut, z czego połowę zajęły stwierdzenia przedstawicieli rządu (bez premier i jej kancelarii).
Rok wcześniej takie wypowiedzi zajęły w stacji 3,5 godziny mniej czasu antenowego. Znacznie krócej niż w grudniu ub.r. trwały wypowiedzi przedstawicieli rządu, a nieco dłużej - prezydenta, przedstawicieli jego kancelarii i premier.
W grudniu ub.r. słów polityków można było słuchać przez 61 godzin i 48 minut, z czego prawie połowę (30 godzin i 5 minut) zajęły stwierdzenia polityków PiS, a łącznie ok. 5 godzin - wypowiedzi osób z Solidarnej Polski i Polska Razem.
Wypowiedzi polityków PO prezentowano przez 8 godzin i 23 minut, tych z Kukiz ’15 - przez 6 godzin i 31 minut, a tych z Nowoczesnej - przez 6 godzin i 15 minut.
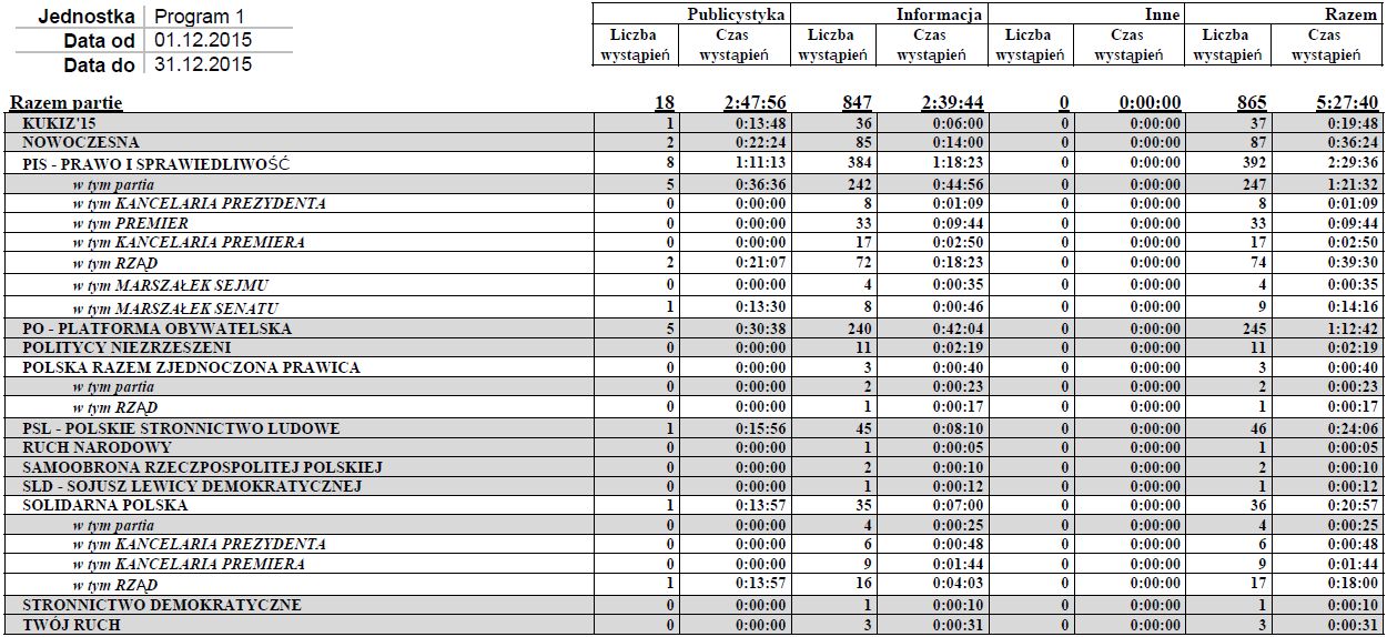
W grudniu 2015 roku na PiS przypadła prawie jedna trzecia czasu wypowiedzi polityków (23 godziny i 17 minut z 76 godzin i 19 minut), a prawie 7 godzin zajęły wypowiedzi przedstawicieli Solidarnej Polski i Polska Razem.
Polityków PO można było słuchać przez 20 godzin i 55 minut, tych z Nowoczesnej - przez 7 godzin i 20 minut, a tych z Kukiz ’15 - przez 5 godzin.
W TVP1 wypowiedzi przedstawicieli głównych władz państwowych w grudniu ub.r. zajęły łącznie 3 godziny i 9 minut, o nieco ponad godzinę więcej niż rok wcześniej. W skali roku ponad dwukrotnie wzrósł czas emisji stwierdzeń przedstawicieli rządu (nie licząc premier i jej kancelarii).
Również o ponad godzinę zwiększył się czas pokazywania wypowiedzi wszystkich polityków. W grudniu ub.r. zajęły one w sumie 6 godzin i 44 minuty, z czego ponad połowa (3 godziny i 33 minuty) przypadła na PiS, a dodatkowo po 20-22 minuty na Solidarną Polskę i Polska Razem.
Polityków PO można było słuchać przez 62 minuty, tych z Nowoczesnej - przez 36,5 minuty, a z Kukiz ’15 - przez 27,5 minuty.
W grudniu 2015 roku na PiS przypadła mniej niż połowa łącznego czasu wypowiedzi polityków (2 godziny i 30 minut z 5 godzin i 28 minut), a na PO - godzina i 13 minut.
W TVP1 w grudniu ub.r. wypowiedzi przedstawicieli władz państwowych pokazywano przez 37 minut i 38 sekund, o jedną trzecią dłużej niż rok wcześniej.
Z kolei czas emisji w stacji wypowiedzi wszystkich polityków zmalał w skali roku z 3 godzin i 26 minut do godziny i 40 minut. W grudniu ub.r. 60 proc. tego czasu zajął PiS, 10,5 proc. - PO, a Nowoczesna i Kukiz ’15 łącznie - 9,5 proc.
Za to w grudniu 2015 roku wypowiedzi polityków Nowoczesnej na antenie TVP2 trwały łącznie 62 minuty, tych z PO - prawie 48 minut, natomiast tych z PiS - 37 minut (dodatkowo 3,5 minuty wypowiedzi przedstawicieli Solidarnej Polski i Polska Razem).














