Politycy PiS od kwietnia do czerwca bywali jeszcze częściej na antenach TVP niż od stycznia do marca. Jak wynika z nowego zestawienia opublikowanego na stronach Telewizji Polskiej i opracowanego przez Wirtualnemedia.pl, przedstawiciele PiS w drugim kwartale tego roku otrzymali 146 godzin i 55 minut czasu antenowego, podczas gdy w poprzednim kwartale 135 godzin 39 minut. Koalicjanci byli pokazywani - Solidarna Polska przez 9 godzin i 5 minut, a Porozumienie 6 minut.
##NEWS http://www.wirtualnemedia.pl/artykul/sondaz-kantar-koalicja-obywatelska-pis-piotr-glinski-prymitywna-wrzutka-marketingowa ##
59 godzin dla opozycji w TVP
Największa partia opozycyjna, Platforma Obywatelska, w drugim kwartale br. była na antenach nadawcy publicznego pokazywana przez 28 godzin i 23 minuty. Nowa Lewica dostała 14 godzin i 46 minut czasu antenowego, PSL 11 godzin i dwie minuty, Konfederacja 2 godziny 39 minut, Kukiz'15 dwie godziny 25 minut.

Opozycji pozaparlamentarnej w Telewizji Polskiej poświęcono odpowiednio: 1 godzinę i 48 minut Partii Republikańskiej, 1 godzinę 25 minut Polsce 2050, 1 godzinę 22 minuty Inicjatywie Polskiej, 1 godzinę 13 minut Lewicy Razem; Nowoczesnej 32 minuty, Polskiej Partii Socjalistycznej 22 minuty, Unii Europejskich Demokratów 9 minut, Zielonych nie pokazywano ani jednej sekundy.
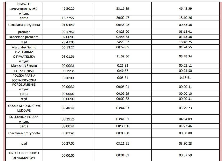
Czas pokazywania polityków w Telewizji Polskiej w drugim kwartale roku, zaokrąglenie do pełnych godzin, grafika: Wirtualnemedia.pl na podstawie danych TVP.
##NEWS http://www.wirtualnemedia.pl/artykul/prawo-i-sprawiedliwosci-w-tvp-przez-577-godzin-telewizja-propartyjna ##

Morawiecki 14 godzin w TVP
Jak wynika z obliczeń Wirtualnemedia.pl, na wystąpienia przedstawicieli kancelarii prezydenta poświęcono od kwietnia do czerwca w TVP 2 godziny 34 minuty, premiera Mateusza Morawieckiego 14 godzin i 4 minuty, przedstawicieli kancelarii premiera 6 godzin, przedstawicieli rządu 66 godzin i 59 minut.

W pierwszym kwartale roku br. politycy Zjednoczonej Prawicy (PiS, SolPol, Porozumienie) byli pokazywani przez 135 godzin 39 minut i 24 sekundy. Czas antenowy Koalicji Obywatelskiej wyniósł 29 godzin, 17 minut, 36 sekund. Kolejne miejsca zajęły: Lewica (19 godzin, 9 minut, 25 sekund), Polskie Stronnictwo Ludowe z Unią Europejskich Demokratów (14 godzin, 36 minuty, 56 sekund), Konfederacja (4 godziny, 30 minut, 53 sekundy), Polska 2050 (1 godzina, 31 minut, 33 sekundy) i Kukiz’15 (49 minut, 12 sekund).














