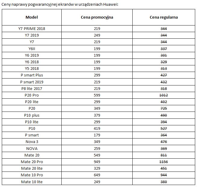
Promocja, która potrwa do 18 września br., obejmuje 24 modele smartfonów Huawei, zarówno z flagowych linii, jak i ze średniej półki. Wysokość zniżki różni się w zależności od modelu.
Aby wymienić ekran, właściciel urządzenia musi zgłosić się do jednego z 17 autoryzowanych serwisów Huawei w Polsce (Białystok, Gdynia, Gorzów Wielkopolski, Kalisz, Katowice, Kielce, Koszalin, Kraków, Lublin, Łódź, Olsztyn, Piaseczno, Rzeszów, Szczecin, Toruń, Warszawa, Wrocław) lub do sklepu Huawei w centrum handlowym Arkadia w Warszawie. Promocja będzie także realizowana w 3 centrach serwisowych Huawei (2 w Piasecznie + Sękocin Stary).
Rabat może być zastosowany tylko raz do każdego urządzenia, przy czym każdy klient może skorzystać z promocyjnej wymiany ekranu maksymalnie 3 razy.
W ramach promocji, po wymianie wyświetlacza, ekran urządzenia zostanie bezpłatnie zabezpieczony folią ochronną (z wyłączaniem Huawei Mate20 Pro ze względu na zastosowaną technologię czytnika linii papilarnych umieszczoną w wyświetlaczu - folia może zakłócać przepływ sygnału w celu odblokowania ekranu lub innych funkcji).

Regulamin promocji Huawei można znaleźć tutaj (https://consumer.huawei.com/pl/support/screenreplacement/).
Miejsca napraw
Naprawy będą realizowane w 17 autoryzowanych salonach serwisowych:

Białystok, ul. Bohaterów Getta 5 lok. 5U, 15-450
Gdynia, ul. Świętojańska 90, 81-388
Gorzów Wielkopolski, ul. Sikorskiego 111, 66-400
Kalisz, ul. Górnośląska 22, 62-800
Katowice, ul. Korfantego 2, 40-004
Kielce, ul. Sienkiewicza 66, 25-501
Koszalin, ul. 1 Maja 22/3, 75-800
Kraków, ul. Limanowskiego 4, 30-534
Lublin, ul. Piłsudskiego 12/1, 20-011
Łódź, ul. Piotrowska 189/191 90-447
Olsztyn, ul. E. Kruka 21/2, 10-540
Piaseczno, ul. Puławska 40A, 05-500
Rzeszów, ul. 3 Maja 9, 35-030
Szczecin, ul. Małopolska 61/1; 70-515
Toruń, ul. Podmurna 65/3, 87-100
Warszawa, ul. Andersa 33, 00-159
Wrocław, ul. Długa 37/47, 53-633
oraz 3 centrach serwisowych:
Piaseczno, Puławska 40A, 05-500
Piaseczno, Puławska 34, 05-500
Sękocin Stary, Logistyczna 7, 05-090

Naprawy będzie można też dokonać w salonie w warszawskim centrum handlowym Arkadia.














