38. sezon Pucharu Świata mężczyzn w skokach narciarskich odbywał się w okresie od 25 listopada 2016 roku do 26 marca 2017 roku. W Polsce był on szeroko relacjonowany przez dwie stacje: TVP1 i Eurosport 1.
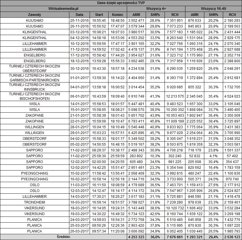
Średnia widownia wszystkich pucharowych konkursów w sezonie 2016/2017 w Jedynce wyniosła 4,25 mln osób. Przełożyło się to na 35,99 proc. udziału w rynku telewizyjnym wśród wszystkich widzów, 29,45 proc. w grupie komercyjnej 16-49 oraz 33,28 proc. w grupie 16-59 - wynika z danych Nielsen Audience Measurement, opracowanych przez portal Wirtualnemedia.pl.
Na antenie Eurosportu 1 wszystkie konkursy oglądało 579 tys. osób, co dało tej stacji odpowiednio 4,78 proc., 2,93 proc. i 3,49 proc. udziału.
Łączna widownia PŚ w skokach narciarskich mężczyzn 2016/2017 na obu antenach wyniosła 4,83 mln osób (40,77 proc., 32,38 proc. i 36,77 proc. udziału).

Średnie wyniki oglądalności
Według danych telemetrycznych przekazanych portalowi Wirtualnemedia.pl przez TVP wynika, że przynajmniej przez trzy minuty relacje z zawodów na antenie Jedynki oglądało 25,37 mln Polaków w grupie 4+ (11,27 mln w grupie 16-49), co stanowi 71,4 proc. społeczeństwa (64,7 proc. w 16-49).
Porównując dane oglądalności TVP1 z ubiegłoroczną edycją cyklu, że tegoroczna miała aż o 1,23 mln widzów więcej. Wówczas turniej na antenie tej stacji śledziło 3,02 mln osób przy 24,69 proc. udziału w grupie 4+ oraz 17,69 proc. w grupie 16-49.

- Zakończony Puchar Świata w skokach narciarskich był wyjątkowy, nie tylko dzięki historycznemu zwycięstwu polskiej drużyny, ale i znakomitym wynikom oglądalności - mówi portalowi Wirtualnemedia.pl Jacek Kurski, prezes TVP. - Ta dyscyplina jest już sportem narodowym Polaków a Telewizja Polska jest jej najlepszym ambasadorem. To ogromna satysfakcja, że Polacy chcąc oglądać triumfy naszych zawodników wybierają TVP - dodaje.
W Jedynce największą popularnością cieszył się finałowy konkurs Turnieju Czterech Skoczni, odbywający się w Bischofshofen, który na antenie tej stacji 6 stycznia br. oglądało 6,91 mln widzów w 4+ (41,3 proc. udziału). Przynajmniej przez 10 sekund transmisję tę śledziło 12,21 mln widzów.
Na drugim miejscu znalazły się zawody w Zakopanem z widownią na poziomie 6,79 mln osób (transmisja 22 stycznia br.), a na trzecim - w Willingen (6,43 mln; 29 stycznia br.).

Oglądalność konkurs po konkursie w TVP1
TVP1 w czasie pokazywania zawodów była niekwestionowanym liderem rynku telewizyjnego. Drugie miejsce w tym czasie zajął Polsat, którego udział wyniósł 6,97 proc. Dalej wśród kanałów tzw. „wielkiej czwórki” uplasowały się: TVN (5,98 proc.) oraz TVP2 (4,46 proc.).

Taka sama była kolejność stacji wśród widzów w grupie wiekowej 16-59. Z kolei w grupie komercyjnej 16-49 drugi był TVN, który wypadł nieco lepiej od Polsatu.
Widownia PŚ w TVP1 na tle konkurencji
Wpływy reklamowe z zawodów PŚ transmitowanych w TVP1 w sezonie 2015/2016 wyniosły 32,81 mln zł. Dla porównania, w analogicznym okresie rok wcześniej kwota ta wynosiła 25,22 mln zł (dane cennikowe, bez rabatów).

Z kolei średnia widownia wszystkich konkursów pokazanych na antenie Eurosportu 1 względem poprzedniego sezonu się podwoiła - wynika z danych przekazanych portalowi Wirtualnemedia.pl przez nadawcę.
Również na antenie tej stacji największą widownię - 955 tys. osób - zgromadziły finałowe zawody z Bischofshofen.
Oglądalność trzech topowych konkursów w Eurosporcie

Eurosport 1, w przeciwieństwie do TVP1, pokazywał również kwalifikacje do zawodów, które na antenie tej stacji śledziło średnio więcej widzów, niż same konkursy. Dane przekazane nam przez nadawcę pokazują, że w sezonie 2016/2017 było to średnio 678 tys. osób, co względem poprzedniego sezonu oznacza wzrost o 278 tys. oglądających. Największe audytorium zgromadziły kwalifikacje w Obersdorfie, które śledziło 1,09 mln osób (udział Eurosportu 1 w całym rynku telewizyjnym wyniósł wówczas 8,6 proc.).
- Sezon 2016/2017 był jednym z najlepszych w historii polskich skoków narciarskich. Zwycięstwo Kamila Stocha w Turnieju Czterech Skoczni, złoty medal w drużynie i brązowy Piotra Żyły indywidualnie na mistrzostwach świata w Lahti, a także triumf w Pucharze Narodów to osiągnięcia, o których przed sezonem nawet nie marzyliśmy. Wszystko to sprawiło, że zainteresowanie skokami osiągnęło rekordowy poziom - mówi Adam Widomski, dyrektor Eurosportu. - Cieszę się, że tak wielu kibiców śledziło transmisje w Eurosporcie i wspólnie z nami towarzyszyło polskim skoczkom w drodze po sukcesy. Mam nadzieję, że przyszły sezon będzie również znakomity i nasza reprezentacja powalczy o najwyższe cele podczas igrzysk olimpijskich w Pjongczangu, które będziemy relacjonować w pełnym wymiarze - dodaje.

Kryształową kulę za zwycięstwo w klasyfikacji generalnej tegorocznego Pucharu Świata w sezonie 2015/2016 zdobył Stefan Kraft. Świetnie się spisywali Polacy, którzy wygrali klasyfikację Pucharu Narodów. Indywidualnie w klasyfikacji generalnej najwyżej sklasyfikowanym reprezentantem polski był Kamil Stoch, który zajął miejsce drugie. Piąty w całym cyklu był Maciej Kot, a jedenasty Piotr Żyła.
Udział TVP1 w rynku telewizyjnym wśród wszystkich widzów w lutym br. wyniósł 10,85 proc., a Eurosportu 1 - 0,74 proc..














