Największą widownię w okresie od 1 stycznia do 28 grudnia 2020 roku zgromadziło specjalne wydanie dziennika TVP1 „Teleexpress” z 26 stycznia. Kilkuminutowa audycja, pokazana w przerwie konkursu PŚ w skokach narciarskich w Zakopanem, miała średnio 5,45 mln osób (1-minutowy zasięg na poziomie 5,77 mln widzów) - wynika z danych Nielsen Audience Measurement, udostępnionych portalowi Wirtualnemedia.pl przez One House. Udział stacji w tym czasie wyniósł 38,47 proc.
Drugie miejsce należało do finałowego konkursu Turnieju Czterech Skoczni 2019/2020, który odbył się 6 stycznia w Bischofshofen (sportową imprezę wygrał Dawid Kubacki). Relacja w samej TVP1 miała średnio 5,15 mln osób (RCH 1 min na poziomie 9,40 mln). Udział stacji w tym czasie wyniósł 32,41 proc. Zawody transmitowane były również w Eurosporcie (widownia na poziomie 1,30 mln widzów) i TVP Sport (922 tys.). Łącznie konkurs miał 7,37 mln osób.

Podium uzupełnia serial „M jak miłość” z 14 kwietnia. Tego dnia produkcję śledziło średnio 5,06 mln widzów (31,29 proc. udziału; zasięg na poziomie 5,87 mln).
##NEWS https://www.wirtualnemedia.pl/ogladalnosc-telewizji-swieta-2020-kevin-sam-w-domu-hitem,7170409269831809a ##
Drugie pod względem oglądalności wśród dzienników były „Wydarzenia” Polsatu, które zgromadziły 4,81 mln widzów (emisja 6 grudnia; 4. pozycja). Dziennik ten został wyemitowany tuż po pokazaniu Mikołajkowego Bloku Reklamowego 2020, który śledziło 5,82 mln osób. W zestawieniu na 8 pozycji uplasowały się jeszcze „Wiadomości” TVP1 z 3,99 mln oglądających (wydanie z 6 stycznia) oraz „Fakty” TVN z 3,73 mln widzów (25 marca; 10 lokata).
Liga Mistrzów, Eurowizja Junior, „Kevin sam w domu” i „Rolnik szuka żony” w czołówce
Piąte miejsce w ogólnym rankingu zajął finałowy mecz Ligi Mistrzów z 23 sierpnia, w którym Bayern Monachium pokonał Paris Saint-Germain wynikiem 1 do 0. Spotkanie w TVP1 oglądało średnio 4,72 mln osób. Udział stacji w tym czasie wyniósł 35,30 proc.

Szósty finał 18. Konkursu Piosenki Eurowizji Junior z 29 listopada. W TVP1 transmisja miała średnio 4,47 mln osób (29,34 proc. udziału),
Na siódmej pozycji uplasował się kultowy film „Kevin sam w domu”, który w Polsacie w Wigilię miał średnio 4,39 mln osób. Dało to stacji 28,78 proc. udziału.
W top 10 znalazł się reality-show „Rolnik szuka żony”. Odcinek programu z 1 listopada śledziło średnio 3,91 mln widzów, co przełożyło się na 26,35 proc. udziału.
##NEWS https://www.wirtualnemedia.pl/telewizja-przegrywa-ze-streamingiem-w-polsce-milion-uzytkownikow-netfliksa-polska-serwisy-vod-jak-korzystac,7170408888739969a ##
Wśród 50 najchętniej oglądanych programów najwięcej, bo 33 miejsca zajęły pozycje wyemitowane przez TVP1. Dziewięć lokat należało do programów TVP2, a po cztery - do Polsatu i TVN.

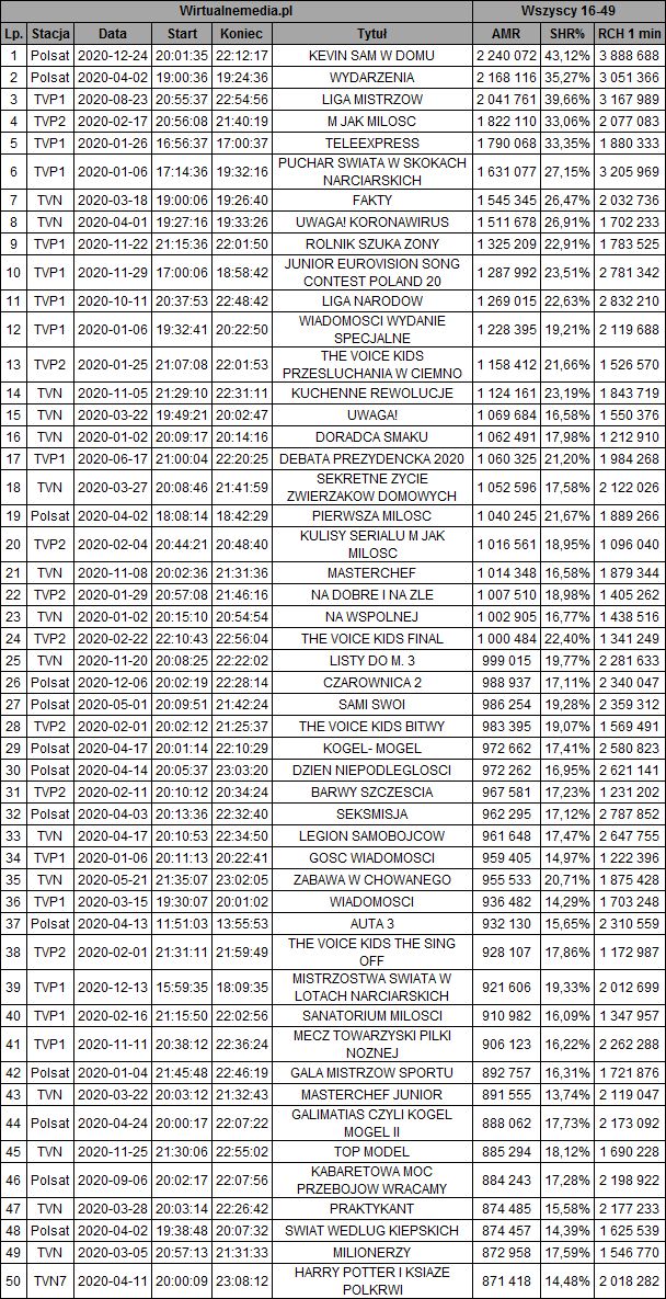
„Kevin sam w domu” na czele w 16-49
Wśród widzów w grupie komercyjnej 16-49 liderem oglądalności był film „Kevin sam w domu”, który miał 2,24 mln osób (RCH - 3,89 mln), co dało Polsatowi 43,12 proc. udziału.
Drugie miejsce zajęły „Wydarzenia” z 2 kwietnia (2,17 mln widzów; 35,27 proc. udziału), a podium uzupełnia finał Ligi Mistrzów (2,04 mln widzów w TVP1; 39,66 proc. udziału).
##NEWS https://www.wirtualnemedia.pl/ogladalnosc-telewizji-2019-rok-atv-top-kanaly-programy-reklama,7173202253018753a ##
W tym ujęciu do top 50 najwięcej pozycji - 15 - wprowadził TVN. Po 13 lokat należało do audycji Polsatu i TVP1, 8 - do TVP2, a jedna - do TVN7.














