Nowy cennik ujawniony przez Play zacznie obowiązywać od 15 czerwca br., czyli dnia wejścia w życie nowych przepisów unijnych znoszących dodatkowe opłaty za połączenia międzynarodowe w krajach Wspólnoty.
Play uzależnił wysokość opłat roamingowych od konkretnych taryf wykorzystywanych przez użytkowników. We wszystkich wprowadzono pulę darmowych minut za połączenia przychodzące, choć ich objętość różni się w poszczególnych taryfach – w najniższej opcji pula ma 50 minut, w najwyższej limit wynosi 700 minut. Po wyczerpaniu puli rozmów przychodzących przyznawanej na rok opłata za każdą minutę odebranego połączenia wynosi 5 gr.
Nieco inaczej Play rozwiązał w nowych cennikach koszty połączeń nawiązywanych przez użytkowników na terenie Unii. Tutaj także przyznawane są pule darmowych minut sięgające od 250 do 820. Po wyczerpaniu puli zaczynają obowiązywać dodatkowe opłaty różniące się wysokością, różne są także koszty połączeń wychodzących w konkretnych ofertach operatora. Ceny zaczynają się od 9 gr. za minutę rozmowy, a kończą na kwocie 30 gr.

W niektórych taryfach Play wprowadził także darmowe pule związane z wysyłaniem wiadomości SMS/MMS oraz ściąganiem danych, gdzie najniższy limit wynosi 1, a najwyższy – 20 GB. Użytkownicy z przyznaną pulą po jej wyczerpaniu podobnie jak pozostali abonenci zapłacą za 1MB różne stawki, które wynoszą od 4 do 9 gr.
W cenniku roamingowym Play najbardziej atrakcyjne pule na rozmowy, wiadomości i ściągnięte dane przyznano jedynie niektórym taryfom operatora, w większości są to oferty biznesowe oraz te droższe kierowane do klientów indywidualnych.
Operator zaznacza, że niewykorzystana pula usług przyznana przed zmianą taryfy lub zawarciem aneksu przepada. Niewykorzystana pula usług nie przechodzi też na następny roczny okres i nie sumuje się z nowo przyznaną pulą.
O wykorzystaniu puli usług operator poinformuje w formie bezpłatnej wiadomości SMS lub komunikatu USSD. Użytkownik ma możliwość sprawdzenia aktualnego stanu puli za pośrednictwem bezpłatnej wiadomości SMS lub kodu USSD.

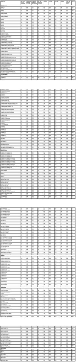
Poniżej pełen cennik opłat roamingowych w Play obowiązujący od 15 czerwca br. na terenie Unii Europejskiej.
W materiale wideo opublikowanym przez Play na firmowym blogu Marcin Gruszka, rzecznik operatora wyjaśnia że brak całkowitego zniesienia dodatkowych opłat roamingowych w Play wynika z wysokich hurtowych stawek pomiędzy operatorami utrudniających wprowadzenie darmowych pakietów na szerszą skalę.














