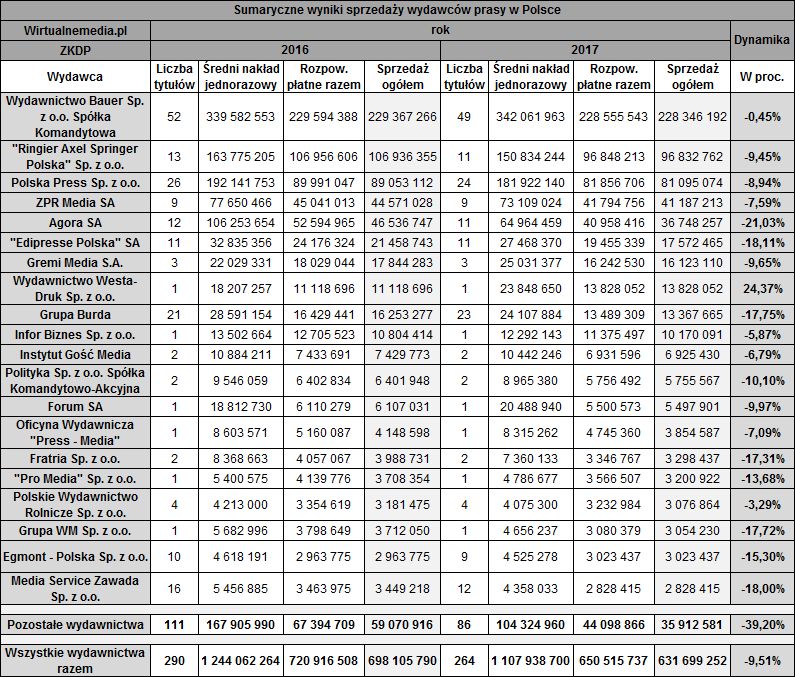
Z danych Związku Kontroli Dystrybucji Prasy, opracowanych przez portal Wirtualnemedia.pl, wynika, że największym wydawcą prasy w Polsce pozostaje niezmiennie Wydawnictwo Bauer. W 2017 roku sprzedało ono dokładnie 228 346 192 egzemplarzy swoich magazynów, o 0,45 proc. mniej niż rok wcześniej. Spółka ta ma najwięcej tytułów w swoim portfolio spośród wszystkich wydawnictw w Polsce - w ub.r. w bazie ZKDP figurowało ich 49 (rok wcześniej liczba ta wynosiła 52).
Na drugim miejscu znalazło się wydawnictwo Ringier Axel Springer Polska, które w zeszłym roku sprzedało łącznie 96 832 762 egz., o 9,45 proc. mniej niż rok wcześniej. Spółka ta w ub.r. w naszym kraju wydawała dwa dzienniki („Fakt” i „Przegląd Sportowy”) oraz 7 magazynów.
##NEWS http://www.wirtualnemedia.pl/artykul/sprzedaz-wszystkich-miesiecznikow-w-2017-roku-kobieta-i-zycie_2 ##

Podium uzupełnia wydająca dzienniki regionalne i tygodniki lokalne Polska Press Grupa z 81 095 762 egz. sprzedanych egzemplarzy (spadek o 8,94 proc.).
Z piątego na czwarte miejsce w rankingu awansowało ZPR Media. W 2017 roku spółka ta sprzedała 41 187 213 egz. swoich tytułów, co oznacza spadek względem 2016 roku o 7,59 proc.
##NEWS http://www.wirtualnemedia.pl/artykul/sprzedaz-tygodnikow-opinii-w-2017-roku-tygodnik-powszechny-wprost ##
Na piąte miejsce została zepchnięta Agora, która sprzedała 36 748 257 egz. swoich dzienników i magazynów. Wydawnictwo to zanotowało największy spadek w top 20 - wyniósł on 21,03 proc.
Jedyny wzrost sprzedanych egzemplarzy w czołowej dwudziestce (o 24,37 proc.) do 13 828 052 egz. zanotowało Westa-Druk wydające „Tygodnik Angorę”. Spółka ta znalazła się na 8. miejscu.

Wszystkie wydawnictwa w 2017 roku sprzedały łącznie 631 699 252 egz. gazet, o 9,51 proc. mniej niż w 2016 roku (aż 39,20 proc. wśród wszystkich wydawców, którzy nie załapali się do top 20). Z kolei liczba wydawanych tytułów zmalała o 26 do 264.
W rankingu wydawnictw utworzonym na podstawie średniej sprzedaży ogółem egzemplarzy wszystkich tytułów liderem w 2017 roku była wspomniana już firma Westa-Druk, która wydaje tylko „Tygodnik Angora”. W ub.r. jego średnia sprzedaż ogółem wyniosła 265 924 egz., po spadku o 4,33 proc. względem 2015 roku.

Natomiast najwyżej notowaną w tej klasyfikacji grupą wydawniczą było Wydawnictwo Bauer, zajmujące miejsce drugie. Średnia sprzedaż ogółem wszystkich jego tytułów w 2017 roku wyniosła 194 835 egz., czyli o 7,07 proc. mniej niż rok wcześniej.
Podium uzupełnia Instytut Gość Media, wydający tygodnik „Gość Niedzielny” i miesięcznik „Mały Gość Niedzielny”. Uśredniona sprzedaż ogółem obu tytułów wyniosła 111 700 egz., po spadku o 5,28 proc.
##NEWS http://www.wirtualnemedia.pl/artykul/fakt-najchetniej-kupowany-w-2017-roku-wiekszosc-dziennikow-z-najnizsza-sprzedaza-w-historii ##
Również i w tym zestawieniu większość tytułów odnotowało spadki, a najwięcej straciło wydawnictwo Orle Pióro - było to 20,70 proc. do 42 163 egz.
Najwięcej zyskało tutaj tylko Polskie Wydawnictwo Rolnicze (wzrost o 12,61 proc. do 42 149 egz.).

Oba rankingi opracowane zostały na podstawie danych zawartych w deklaracjach przekazanych do Związku Kontroli Dystrybucji Prasy. Uwzględnione zostały w nich wszystkie płatne tytuły prasowe należące do wydawnictw i zarejestrowane w ZKDP: od dzienników aż po roczniki.
Pierwszy ranking obejmuje liczbę sprzedanych przez wydawcę w danym roku pojedynczych egzemplarzy wszystkich zarejestrowanych tytułów.

Drugi natomiast to zestawienie średnich rocznych nakładów i sprzedaży wszystkich należących do danych wydawców tytułów.
Dane Grupy Burda obejmą tytuły spółek: Burda Communications, Burda NG Polska, Burda Publishing Polska i Burda GL Polska, a Grupa Marquard zawiera tytuły należące do Marquard Media Polska i Hearst-Marquard Media.














