W ub.r. Telewizja Polska osiągnęła wzrost przychodów o 330 mln zł do 3,04 mld zł, a koszty jej działalności zwiększyły się o 120 mln zł do 2,82 mld zł. Wpływy nadawcy z reklam i sponsoringu zmalały o 12 proc. do 740 mln zł, natomiast z abonamentu rtv i zeszłorocznej rekompensaty wyniosły 2,04 mld zł (to 584 mln zł więcej niż w 2019 roku).
Rekordowa rekompensata abonamentowa
W sprawozdaniu abonamentowym Telewizja Polska podała, że w ub.r. uzyskała 1,71 mld zł z rekompensaty abonamentowej i 331,4 mln zł z opłacania abonamenty rtv.
##NEWS https://www.wirtualnemedia.pl/tvp-i-polskie-radio-rekompensata-abonament-obligacje-skarbowe-2021,7170201457080449a ##
To rekordowo dużo w historii TVP. Jeszcze w latach 2014-2016, przed otrzymaniem pierwszej rekompensaty, nadawca miał od 366 do 444 mln zł rocznie z samego abonamentu. Natomiast w latach 2010-2013 było to poniżej 300 mln zł rocznie.

Mniej z reklam, 64 proc. budżetu ze środków publicznych
Przychody Telewizji Polskiej z reklam i sponsoringu zmalały w ub.r. o 12 proc. do 740 mln zł. Nadawca tłumaczy to spadkami na rynku reklamowym po wybuchu epidemii - według danych Publicis Groupe wartości polskiego rynku reklamy tv spadła o 443,1 mln zł, czyli 10,1 proc. https://www.wirtualnemedia.pl/wydatki-reklamowe-w-polsce-w-2020-roku,7170368839665281a
Wpływy reklamowo-sponsoringowe TVP były najniższe od 2009 roku. Poprzednio poniżej 800 mln zł zmalały tylko raz, w 2017 roku.

Duży wzrost przychodów abonamentowych i spadek wpływów z reklam i sponsoringu sprawiły, że mocno zwiększyły się udział tych pierwszych w budżecie Telewizji Polskiej. W ub.r. stanowiły już 64 proc. łącznych wpływów nadawcy, wobec 55 proc. w 2019 roku i 46 proc. w 2018 roku.
Natomiast w latach 2015-2016 abonament rtv zapewnił 25 proc. przychodów TVP, a w latach 2010-2011 jedyne 13 proc.

2,4 mld zł na misję publiczną, 77 proc. z abonamentu
Telewizja Polska podała, że w ub.r. na realizację misji nadawcy publicznego przeznaczyła 2,44 mld zł, z czego 77 proc. zapewniły środki z abonamentu i rekompensaty. W 2019 roku wydatki w tym zakresie wyniosły 2,33 mld zł, a udział abonamentu i rekompensaty - 60,3 proc.
##NEWS https://www.wirtualnemedia.pl/ogladalnosc-telewizji-2021-rok-i-kwartal-teleexpress-i-konkursy-skokow-hitami,7170210589632129a ##
Ze stacji ogólnopolskich najwięcej na misję wydano w TVP1 - w ub.r. 887,45 mln zł. Z tej kwoty 304 mln zł poszło na treści kulturalne, 213,68 mln zł - sportowe, a 155,14 mln zł - rozrywkowe. Emisja kanału w naziemnej telewizji cyfrowej kosztowała 15,04 mln zł.

W TVP2 najwięcej na rozrywkę, w TVP3 - na informacje i publicystykę
Budżet misji w TVP2 wyniósł w ub.r. 534,36 mln zł, z czego 307,24 mln zł kosztowały treści rozrywkowe, a 120,2 mln zł - kulturalne.

Wydatki na misję publiczną w kanałach regionalnych TVP sięgnęły 333,77 mln zł (w tym 8,24 mln zł na emisję).
W przypadku samej stacji TVP3 Regionalna budżet misyjny wyniósł 47,24 mln zł, z czego 21,9 mln zł na publicystykę, a 13,94 mln zł na informacje.

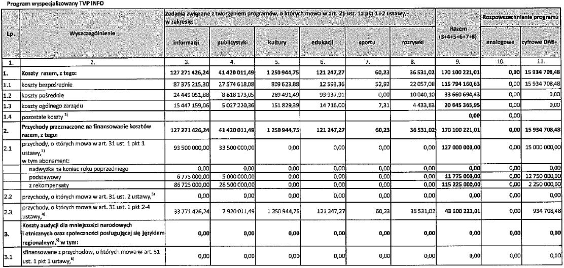
186 mln zł na misję w TVP Info, 110 mln zł w TVP Sport
Realizacja misji w TVP Info kosztowała w ub.r. 186,03 mln zł, w tym 122,27 mln zł na treści informacyjne, 41,42 mln zł na treści publicystyczne, a 15,93 mln zł na emisję w naziemnej telewizji cyfrowej.

Budżet TVP Sport w tym zakresie wyniósł 109,74 mln zł. Zdecydowana większość tej kwoty, 95,19 mln zł, poszła na treści sportowe.

##NEWS https://www.wirtualnemedia.pl/dvb-t2-hevc-tvp-stacje-jak-odbierac-tvp-4k-mecze-euro-2020,7170200152008833a ##
TVP Kultura z większym budżetem niż TVP Historia i TVP ABC
Na misję w TVP Kultura przeznaczono w ub.r. 65,27 mln zł (45,77 mln zł na treści kulturalne).

Nakłady na realizację misji w TVP Historia wyniosły 46,61 mln zł (z czego 21,64 mln zł na treści edukacyjne), a w TVP ABC - 40,83 mln zł (33,38 mln zł na treści edukacyjne).

Więcej na Belsat TV niż na TVP Polonia
Z kilku kanałów Telewizji Polskiej skierowanych do odbiorców za granicą największy budżet misji publicznej miał w ub.r. Belsat TV - 43,7 mln zł. 19,07 mln zł poszło na treści publicystyczne, a 9,03 mln zł na informacyjne.
18,43 mln zł na działalność Belsat TV to dotacja od Ministerstwa Spraw Zagranicznych.
Nakłady na misję w TVP Polonia sięgnęły w ub.r. 36,95 mln zł, z czego 13,76 mln zł przeznaczono na informacje, a 12,37 mln zł na publicystykę.
Dotacja od MSZ wyniosła 16,32 mln zł.
Misja publiczna w nadawanym od września 2019 roku TVP Wilno kosztowała w ub.r. 16,52 mln zł (10 mln zł zapewnił MSZ), a w internetowym Poland IN - 8,2 mln zł
Po 12 mln zł na TVP Rozrywka i TVP HD
Wydatki na misję w TVP HD wyniosły 12,22 mln zł (7,55 mln zł poszło na treści edukacyjne, a 3,06 mln zł na rozrywkowe), a w TVP Rozrywka - 12,07 mln zł (6,19 mln zł kosztowała cyfrowa emisja naziemna).
3,48 mln zł przeznaczono na misję w TVP Seriale (1,79 mln zł na treści rozrywkowe, a 1,49 mln zł na kulturalne), natomiast 1,07 mln zł w TVP Dokument, nadawanym od listopada ub.r.
100 mln zł na ofertę multimedialną
W ramach misji publicznej Telewizja Polska przeznaczyła w ub.r. 100,51 mln zł na treści inne niż w kanałach linearnych, przede wszystkim treści i usługi w internecie.
Liczba etatowych pracowników Telewizji Polskiej w ub.r. zwiększyła się o 95 do 2 825. Na wynagrodzenia firma przeznaczyła 513,27 mln zł, o 10,4 proc. więcej niż rok wcześniej. Z zeszłorocznego zysku pracownikom zostanie wypłacone do podziału 17,8 mln zł brutto.
Firma zanotowała w ub.r. 198 mln zł zysku netto, z czego ponad 188 mln zł zamierza przeznaczyć na kapitał zapasowy, a 9 mln zł - na premie dla pracowników.














