Pierwsze miejsce wśród najpopularniejszych stacji telewizyjnych w I kwartale 2017 roku należało do TVP1. Średni dobowy udział tego kanału względem I kwartału 2016 roku zmniejszył się o 9,19 proc. i wyniósł 11,16 proc. - wynika z danych Nielsen Audience Measurement, opracowanych przez portal Wirtualnemedia.pl.
Wiceliderem był Polsat, którego udział w analizowanym okresie zwiększył się o 1 proc. do 11,07 proc.
Podium uzupełnia TVN. Jego wynik w porównaniu do I kwartału 2016 roku zmalał o 6,69 proc. do 9,76 proc.
Czwarte miejsce przypadło TVP2 (8,26 proc. udziału; w dół o 3,84 proc.).
##NEWS http://www.wirtualnemedia.pl/artykul/zasieg-radia-w-polsce-w-2016-roku ##
Łączny udział tzw. „wielkiej czwórki” zmniejszył się z 42,30 proc. w I kwartale 2016 roku do 40,25 proc. w I kwartale 2017 roku.
- Wśród stacji głównych jedynie Polsat osiągnął AMRy na poziomie zbliżonym do zeszłego roku, a pozostałe stacje generują spadki miedzy 5 a 10 proc. Spadki AMRów na pozostałych stacjach oznaczają, że ludzie częściej oglądają te stacje wybiórczo i przełączają się do stacji tematycznych - mówi portalowi Wirtualnemedia.pl Marzena Igras, investment manager z agencji MediaCom.

Na piątym miejscu zestawienia uplasował się TVN24, którego udział wyniósł 4,05 proc., po wzroście o 17,39 proc. - największym w top 10.
W czołowej dziesiątce znalazły się jeszcze takie stacje, jak: TV4 (3,90 proc.; do góry o 17,82 proc. - największy wzrost w top 10), TVP Info (3,45 proc.; + 7,81 proc.), TVN7 (3,10 proc.; - 1,27 proc.), TV Puls (2,79 proc.; - 10,86 proc. - największy spadek w top 10) i Puls 2 (1,70 proc.; - 2,30 proc.).
Udział będącego liderem TVN wśród widzów w grupie komercyjnej 16-49 wyniósł 12,78 proc., po spadku o 0,93 proc. Drugą lokatę zajął Polsat. Jego wynik w I kwartale br. wyniósł 12,73 proc. (bez zmian).

Dalej uplasowały się TVP1 (7,41 proc udziału; w dół o 8,97 proc.) i TVP2 (7,19 proc.; - 2,84 proc.).
- Patrząc z punktu widzenia stacji najważniejsze jest utrzymywanie wysokich parametrów w grupach rozliczeniowych. Wszystkie stacje główne odnotowują spadki, a liderem w tym negatywnym rankingu stacji głównych jest TVP1 - analizuje Igras.
##NEWS http://www.wirtualnemedia.pl/artykul/ogladalnosc-telewizji-w-prime-time-w-2016-roku ##
Na piątym miejscu w tym ujęciu znalazła się Czwórka (3,97 proc udziału; wzrost o 5,87 proc.).
- Wyniki oglądalności w I kwartale pokazują, że największym stacjom ogólnopolskim trudno bronić swoje udziały rynkowe, choć dynamika spadku, podobnie jak w kilku poprzednich kwartałach znacznie zmalała w porównaniu z latami „intensywnej cyfryzacji” (poszerzania wyboru stacji dostępnych dla ogółu widzów) - podkreśla z kolei Aleksander Glezman, będący integrated communication directorem w MEC.

##NEWS http://www.wirtualnemedia.pl/artykul/jak-odbierac-kanaly-dostepne-na-mux-8-czego-chca-polacy ##
W grupie wiekowej 16-59 nowym liderem został Polsat (do góry o 2,89 pkt. proc. do 12,46 proc.), który wyprzedził TVN (w dół o 2,77 pkt. proc. do 11,57 proc.).

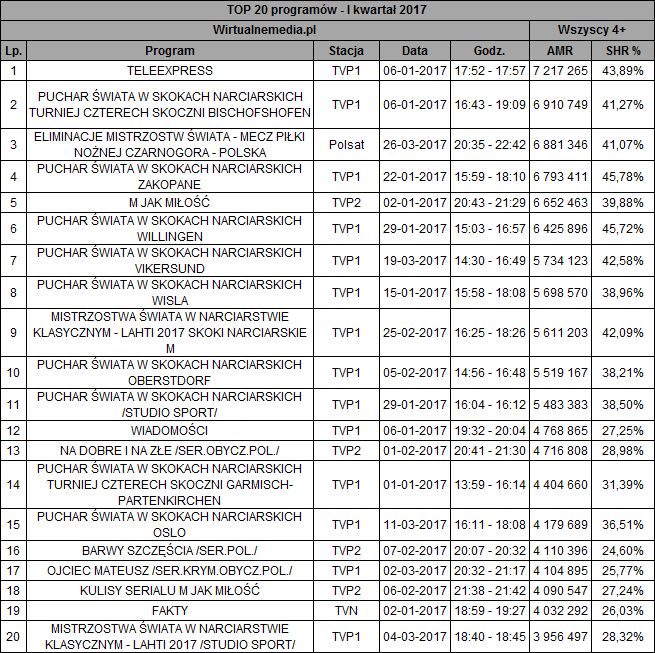
Najwięcej widzów w zeszłym kwartale zgromadził „Teleexpress”, którego wydanie z 6 stycznia (pokazane wyjątkowo o 17.52) oglądało 7,22 mln widzów, co przełożyło się na 43,89 proc. udziału w rynku telewizyjnym - wynika z danych Nielsen Audience Measurement. Jak wynika z informacji przekazanych nam przez TVP, jest to najwyższa widownia tego serwisu od 6 stycznia 2014 roku.
Drugie miejsce zajęła transmisja finałowego konkursu prestiżowego Turnieju Czterech Skoczni w skokach narciarskich. Zawody z Bischofshofen śledziło średnio 6,91 mln widzów TVP1, co przełożyło się na 41,27 proc. udziału.
Podium uzupełnia eliminacyjny mecz piłki nożnej do MŚ Rosja 2018 pomiędzy Polską, a Czarnogórą, który 26 marca br. odbył się na Stadionie Pod Goricom w Podgoricy. W Polsacie oglądało go średnio 6,88 mln osób (w Polsacie Sport - 857 tys.). Udział stacji w tym czasie wyniósł 41,07 proc. (Polsat Sport - 5,12 proc.).

Oczko niżej znalazł się indywidualny konkurs skoków z Zakopanego. Zawody transmitowane w Jedynce 22 stycznia śledziło 6,79 mln widzów (45,78 proc. udziału).
Na piątym miejscu uplasował się serial „M jak miłość, który 2 stycznia w TVP2 miał 6,65 mln widzów, co przełożyło się na 39,88 proc. udziału.
Najpopularniejsze wydanie „Wiadomości” TVP1 zgromadziło 4,77 mln widzów (emisja 6 stycznia; 8. pozycja). 4,03 mln oglądających miały pokazane cztery dni wcześniej konkurencyjne „Fakty” TVN (11. pozycja).

Wśród 20 najchętniej oglądanych programów najwięcej, bo 14 miejsc zajęły pozycje wyemitowane przez TVP1. Cztery lokaty należały do programów TVP2, a po jednej - do Polsatu i TVN.
20 najlepiej oglądanych programów - grupa 16-49.

20 najlepiej oglądanych programów - grupa 16-59.
Wyniki oglądalności telewizji w I kwartale 2017 roku dla portalu Wirtualnemedia.pl szczegółowo analizują eksperci: Marzena Igras, Aleksander Glezman i Joanna Nowakowska.
Marzena Igras - investment manager z agencji MediaCom:Poziom Average Minute Rating (średnia minutowa widownia) w populacji w ostatnim roku nieznacznie spadł dla całego rynku telewizyjnego. Patrząc na badany okres, widzimy niespełna 1 proc. spadek AMR z poziomu 7,15 mln osób do 7,08 mln. Natomiast wśród stacji głównych jedynie Polsat osiągnął AMRy na poziomie zbliżonym do zeszłego roku, a pozostałe stacje generują spadki miedzy 5 a 10 proc. Spadki AMRów na pozostałych stacjach oznaczają, że ludzie częściej oglądają te stacje wybiórczo i przełączają się do stacji tematycznych.

Spośród 20 topowych stacji najwięcej zyskało TVP ABC, które od godz. 7.00 do 18.00 utrzymuje bardzo zbliżone AMRy, które w okolicach prime-time znacząco rosną. Dzieje się tak zapewne za sprawą zmian ramówki, w której coraz częściej możemy zobaczyć nie tylko stare formaty Telewizji Publicznej, ale również nowsze bajki.
Patrząc z punktu widzenia stacji najważniejsze jest utrzymywanie wysokich parametrów w grupach rozliczeniowych i tutaj sytuacja jest nieco inna. Wszystkie stacje główne odnotowują spadki, a liderem w tym negatywnym rankingu stacji głównych jest TVP1. Najwyższy wzrost również utrzymuje TVP ABC.
Aleksander Glezman - integrated communication director w domu mediowym MECWyniki oglądalności w I kwartale pokazują, że największym stacjom ogólnopolskim trudno bronić swoje udziały rynkowe, choć dynamika spadku, podobnie jak w kilku poprzednich kwartałach znacznie zmalała w porównaniu z latami „intensywnej cyfryzacji” (poszerzania wyboru stacji dostępnych dla ogółu widzów).

W pierwszym kwartale 2017 jedynie Polsat utrzymał ubiegłoroczny poziom oglądalności. Pozostali - zarówno TVP jak i TVN solidarnie zaliczyli spadki. TVN nie pomogło wcześniejsze wprowadzenie ramówki wiosennej, a TVP1 nie uratował nowy format śniadaniowy. Ta stacja najmocniej spada właśnie w paśmie porannym, ale także popołudniowym: pełnym powtórek i z gwałtownie zmniejszającym widownię „Teleexpresem”. W przypadku TVP od ub.r. spadki oglądalności są największe spośród wszystkich stacji dużej czwórki i nic nie wskazuje na to aby trend miał się zmienić. A jeśli się nie zmieni, 2017 rok może być ostatnim, w którym liderem oglądalności wśród wszystkich Polaków jest właśnie ta stacja.
Zaskoczeniem są dla mnie znaczne spadki TV Puls. Można by powiedzieć, że w obliczu doinwestowujących ramówki dużych graczy, jak i coraz większej konkurencji na multipleksach, ramówka tego kanału nie pozwala już jej powiększać udziałów w widowni, ale pamiętajmy też o historii z Cyfrowym Polsatem, który znacznie ograniczył potencjał wzrostu tego kanału. Nie zaskakują natomiast wzrosty oglądalności stacji informacyjnych. Sytuacja polityczna mocniej angażuje widzów, i - co ciekawe - nie tylko w Polsce świetne miesiące zaliczają kanały newsowe. Podobny trend, w epoce Trumpa i Brexitu, odnotowują amerykańskie stacje informacyjne.

Joanna Nowakowska - manager ds. komunikacji i analiz rynku w MECDużym rozczarowaniem pozostają najmłodsi debiutanci z rynku naziemnej telewizji cyfrowej. Ich łączny wynik na razie sięga 0,6 proc. udziału w rynku (zarówno w grupie ogólnej jak i komercyjnej), co oznacza, że razem nie zgromadziły jeszcze tego potencjału, który planowała i zapowiadała każda z osobna. Widać, że ich pierwotne plany dość brutalnie zderzyły się z rzeczywistością MUX-8. Nie pomagają zasięgi techniczne tych kanałów, sięgające w marcu od 44 proc. (WP, od niedawna w ofercie nc+) po niespełna 64 proc. (Nowa TV). Nie pomaga też postawa TVP, która nie uzupełniła na razie nowego multipleksu swoimi kanałami, i nie przyłożyła się do promowania jego istnienia wśród widzów. Nic dziwnego, że badaniu MEC z końca stycznia (Projekt Cyfrowizja III) świadomość poszerzenia oferty NTC miała zaledwie 1/3 polskich telewidzów, w tym - zaledwie co drugi naziemny.
Ciekawym trendem jest odwrót od spadku segmentu kablowo-satelitarnego. Mimo nieznacznego zmniejszenia się penetracji płatnej telewizji i mimo rozbudowy oferty NTC, w I kwartale płatne kanały zwiększyły udział w czasie oglądania widzów 16-49 lat o 4 proc. (z 32,7 proc. w I kwartale ub.r. do 33,9 proc. w br.). Beneficjentem były nie tylko kanały własne największych nadawców komercyjnych (vide - TVN Style, Fabuła, HGTV czy Polsat Cafe), ale i Eurosport, AXN, HBO, czy MiniMini+.














