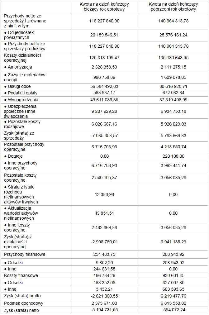
Wszystkie wpływy zostały osiągnięte przez Kantar Polska z usług badawczych. Te krajowe zmniejszyły się ze 100,43 do 85,64 mln zł, a te z zagranicy - z 40,53 do 32,58 mln zł.
Firma oprócz centrali w Warszawie ma oddział w Poznaniu, studio badań jakościowych w Warszawie oraz studio badań jakościowych i studio CATI w Radomiu. W sprawozdaniu złożonym w KRS podała, że wzrósł udział nowoczesnych rozwiązań badawczych w swoich przychodach, m.in. z ofert Kantar Marketplace i Holistic Brand Guidance. Ponadto zwiększyła się oferta i wpływy sprzedażowe w obszarach data science i analytics.
- Wdrożone zmiany pozwoliły spółce na redukcję strat biznesowych związanych przede wszystkim z ograniczeniem budżetów badawczych ze strony klientów, efektywną restrukturyzację zatrudnienia oraz szybki rozwój nowej oferty skierowanej do rynku - zaznaczono.

Po wybuchu epidemii Kantar na kilka miesięcy musiał zrezygnować z sondaży twarzą w twarz. - Badania CATI@LAB przeniesiono na platformę CATI@HOME. Badania jakościowe przeniesiono na stosowne platformy digitalne zdolne pomieścić zarówno wywiady IDI, jak wywiady grupowe typu FGI, BG etc. W czerwcu 2020 przywrócono realizację badań f2f, choć bardzo wielu klientów, spróbowawszy metod digitalnych podjęło decyzję o trwałej zmianie profilu badań realizowanych z pomocą Kantar Polska - opisano w sprawozdaniu.
Kantar sprzedany przez WPP
Przychody Kantar Polska w ramach grupy kapitałowej zmalały z 25,58 do 20,16 mln zł. Na zeszłoroczną kwotę złożyło się m.in. 10,1 mln zł od Kantar Insights UK, 3,67 mln zł od Kantar Insights Germany, 1,55 mln zł od Kantar Insights Netherlands i 906 tys. zł od Kantar Insight Belgium.

W połowie 2019 roku koncern marketingowy WPP porozumiał się co do sprzedania 60 proc. udziałów firmy Kantar funduszowi Bain Capital za 3,1 mld dolarów.
Więcej na pensje, zwolnienia pod koniec roku
Koszty operacyjne Kantar Polska w ub.r. wyniosły 125,31 mln zł, po spadku rok do roku o 7,3 proc. Wynika to przede wszystkim ze zmniejszenia kosztów usług obcych z 80,62 do 56,58 mln zł.

Za to wydatki na wynagrodzenia poszły w górę z 37,31 do 49,61 mln zł, a na ubezpieczenia społeczne i inne świadczenia pracownicze - z 6,93 do 9,21 mln zł.
W ub.r. w firmie było przeciętnie 374 pracowników etatowych, wobec 287 w 2019 roku. Spółka wyjaśniła, że ten wzrost „jest następstwem przeprowadzonego procesu restrukturyzacji formy zatrudnienia”.
Pod koniec ub.r. spółka przeprowadziła zwolnienia grupowe, rozstał się z nią m.in. wieloletni prezes Krzysztof Kruszewski. - Bez tej, trudnej dla wszystkich, decyzji możliwość realizacji zmian, które służą dobru naszych pracowników i klientów nie byłyby możliwe - tłumaczył Kuba Antoszewski, PR manager firmy.
W ub.r. na niefinansowe aktywa trwałe spółka przeznaczyła 1,11 mln zł, na br. zaplanowała 1,57 mln zł wydatków w tym zakresie. Koszty zużycia materiałów i energii zmalały z 1,61 mln zł do 990,8 tys. zł

Pozostałe wpływy operacyjne Kantar Polska zwiększyły się z 4,21 do 6,72 mln zł. Natomiast pozostałe koszty operacyjne zmalały z 3,06 do 2,54 mln zł, a koszty finansowe - z 930,6 do 166,8 tys. zł.
Wynik netto 5,8 mln zł w dół
Wszystkie wskaźniki rentowności Kantar Polska mocno się pogorszyły. Wynik sprzedażowy poszedł w dół z 5,78 mln zł zysku od 7,08 mln zł straty, wynik operacyjny - z 6,94 mln zł zysku do 2,91 mln zł, straty, wynik brutto - z 6,22 mln zł zysku do 2,82 mln zł, natomiast strata netto pogłębiła się z 594,1 tys. zł do 5,19 mln zł.
Spółka w ub.r. zapłaciła 2,37 mln zł podatku dochodowego, a rok wcześniej - 6,81 mln zł.
W br. Kantar Polska spodziewa się stabilizacji swoich wyników finansowych („co jednak stanowi 20 proc. spadek sprzedaży w stosunku do 2019 roku” - zaznaczono w sprawozdaniu), a także w całej branży badań opinii.

- Utrzymuje się silna rola działów procurement, co prowadzi do silnej konkurencji cenowej i wydłużenie terminów płatności. Dlatego też spółka rozwijać będzie segment badań digitalnych i internetowych jako tańszą opcję w stosunku do badań f2f i CATI - zapowiedziano.













