Przychody krajowe firmy Time zmalały rok do roku z 303,15 do 270,08 mln zł, a te z zagranicy - z 1,58 mln zł do 552,9 tys. zł.
W ub.r. spółka zanotowała 49,29 mln zł wpływów ze sprzedaży produktów, przede wszystkim „Super Expressu”, magazynów i książek (we wcześniejszych latach te przychody klasyfikowano jako sprzedaż usług).
Sprzedaż „Super Expressu” 15 proc. w dół
W sprawozdaniu firma podała, że w ub.r. łącznie sprzedano 30,9 mln egz. swoich tytułów prasowych, o 15,2 proc. mniej niż w 2019 roku. Sprzedaż „Super Expressu” spadła o 14,7 proc., a magazynów - o 24,1 proc.
Po pominięciu magazynów, które w 2020 roku zostały zawieszone („Zdrowie” i „Podróże”) oraz miesięcznika „Architektura-murator”, który został wycofany z audytu ZKDP, dynamika sprzedaży pozostałych magazynów Time (Murator, Dobre Wnętrze, M jak mieszkanie, Moje Mieszkanie) wyniosła -10 proc. - zaznaczono.

Time zajmuje się też sprzedażą oferty reklamowej rozgłośni z Grupy Radiowej Time: Radia Eska, Eski Rock, Vox FM i Radia Supernova (do maja br. działającego jako Radio Wawa). W sprawozdaniu za ub.r. nie wyszczególniono już, ile wyniosły wpływy firmy z reklamy radiowej, a ile z innych usług.
Łączne przychody spółki z usług zmalały z 304,63 do 221,24 mln zł.
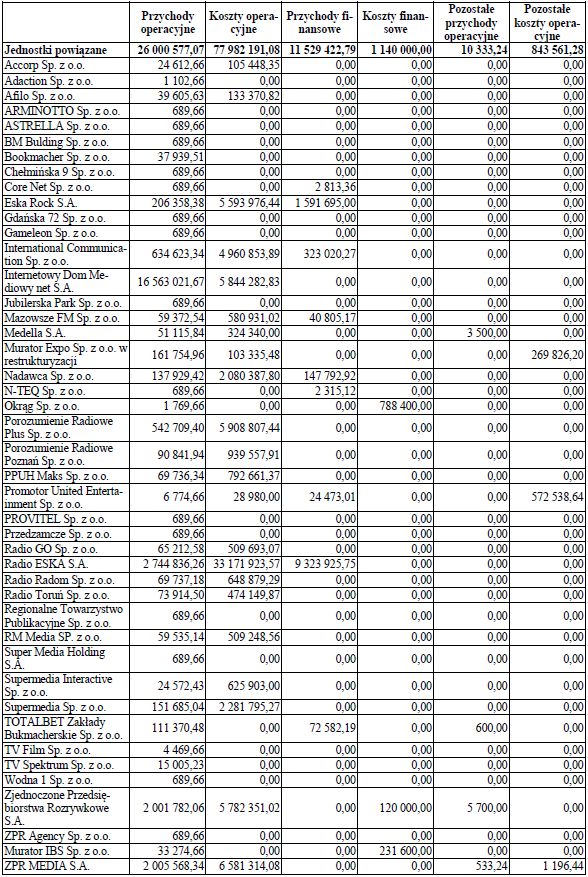
Wpływy Time’u od spółek powiązanych z nim kapitałowo zwiększyły się z 23,48 do 26 mln zł. Na zeszłoroczną kwotę złożyło się m.in. 16,56 mln zł od Internetowego Domu Mediowego, 2,74 mln zł od Radia Eska oraz po 2 mln zł od ZPR Media i Zjednoczonych Przedsiębiorstw Rozrywkowych.

9 proc. niższe koszty
Wydatki operacyjne spółki Time zmniejszyły się z 267,95 do 242,7 mln zł, czyli o 9,4 proc. Koszty usług obcych spadły ze 137,13 do 129,54 mln zł, wynagrodzeń - z 65,99 do 57,93 mln zł, a zużycia materiałów i energii - z 24,77 do 16,33 mln zł.
Po wybuchu epidemii firmy z holdingu ZPR Media obniżyły pracownikom wymiar pracy i wynagrodzenia o 20 proc.

W efekcie w Time średnie zatrudnienie zmalało rok do roku z 685,08 do 590,27 etatów, a spółka w ramach tarczy antykryzysowej uzyskała 3,14 mln zł dopłat do pensji z Funduszu Gwarantowanych Świadczeń Pracowniczych. Głównie dzięki temu pozostałe wpływy operacyjne firmy poszły w górę z 410,3 tys. zł do 4,15 mln zł.
Wyższe dywidendy
Pozostałe koszty finansowe Time’u zwiększyły się z 2,2 do 3,65 mln zł, przede wszystkim w związku ze wzrostem kosztów aktualizacji wartości aktywów niefinansowych z 841,4 tys. zł do 2,68 mln zł.
Wpływy finansowe spółki poszły w górę z 8,13 do 11,58 mln zł, z czego suma otrzymanych dywidend - z 8 do 11,43 mln zł. Do Time’u należy m.in. 100 proc. udziałów firm Radio Eska, Radio GO, Supermedia Interactive i International Communiation (to nadawca Radia Supernova), 88,65 proc. udziałów w Eska Rock i 12,81 proc. w ZPR Media.

Z kolei koszty finansowe zmalały z 3,2 do 2,09 mln zł.
20 mln zł z zysku na dywidendę
Zysk operacyjny Time’u zmniejszył się z 36,58 do 28,01 mln zł, a zysk operacyjny - z 34,79 do 28,52 mln zł. Pozostałe wyniki rentowności firmy zmalały słabiej: zysk brutto z 39,72 do 38 mln zł, a zysk netto - z 33,42 do 32,43 mln zł.
W ub.r. spółka zapłaciła 5,57 mln zł, a rok wcześniej - 6,29 mln zł.
Udziałowcami Time’u są trzy inne spółki z holdingu ZPR: Zjednoczone Przedsiębiorstwa Rozrywkowe mają 57,94 proc. udziałów, Murator - 32,06 proc., a Finkorp - 10 proc.
Wspólnicy zdecydowali, że z zeszłorocznego zysku netto spółki otrzymają do końca br. 20,19 mln zł dywidendy, natomiast 12,24 mln zł zostanie przeznaczone na kapitał zapasowy.














