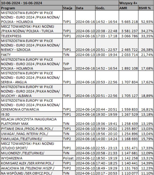
W tygodniu od 10 do 16 czerwca br. najwięcej widzów zgromadził mecz Euro 2024 Polska-Holandia – w TVP1 obejrzało go 5,67 mln widzów, co dało stacji aż 52,93 proc. udziału w całym rynku. Z kolei transmisja spotkania w TVP Sport miała 1,89 mln widzów, co zapewniło jej szóste miejsce w zestawieniu - wynika z danych udostępnionych przez Nielsen Audience Measurement.
Na drugiej pozycji znalazł się mecz towarzyski Polska-Turcja z widownią w Jedynce wynoszącą 3,58 mln osób. Trzecie miejsce zajął „Teleexpress”. Wydanie pokazane w niedzielę 16 czerwca br. tuż po meczu Polska-Holandia przyciągnęło do Jedynki 3,07 mln widzów.
Tym samym popołudniowy serwis TVP1 okazał się najpopularniejszym programem informacyjnym w poprzednim tygodniu. Wyprzedził „Fakty” TVN, które w całym zestawieniu zajęły miejsce piąte. Wydanie z 13 czerwca br. zgromadziło 2,03 mln widzów.

W top 20 programów tygodnia znalazły się jeszcze trzy mecze Euro 2024 – Niemcy-Szkocja, Serbia-Anglia i Włochy-Albania.
TVP1 liderem, ogromny wzrost TVP Sport

Liderem rankingu wśród stacji drugi tydzień z rzędu została TVP1. Jej udział poszedł w górę aż o 46,07 proc. i wyniósł 11,51 proc. To efekt rozpoczęcia Euro 2024 – główne mecze pokazuje właśnie Jedynka. Na drugim miejscu utrzymał się Polsat – jego wynik spadł o 0,27 proc. do 7,28 proc. Udział TVN zmalał o 4,42 proc. do 6,92 proc., co dało mu znów miejsce trzecie. Czwartą lokatę zajęła stacja TVN24, notująca spadek z 7,12 proc. do 6,24 proc. Piąta była TVP2 (5,95 proc. udziału, spadek o 1,82 proc.).
Wzrost o 174 proc. zanotowała stacja TVP Sport, pokazująca wszystkie mecze Euro 2024. Kanał ten z udziałem 4,99 proc. zajął miejsce szóste. Zepchnął on z szóstego na siódme miejsce TV Republika – jej udział spadł o 12,83 proc. do 3,67 proc.














